Организационный менеджмент
Контрольная работа по дисциплине ВлМенеджмент и маркетингВ»
Выполнил: Поповцева Анна Алексеевна студент факультета заочного обучения, бюджетная форма обучения,
Сыктывкарский лесной институт
Сыктывкар 2009
Введение
Статус организационного менеджмента сейчас существенно изменился. Он становится неотъемлемой частью современной компании, встав в один ряд с такими традиционными функциями как маркетинг, управление производством, финансово-экономическое управление и т.п. Это связано с тем, что в мире резко возросла динамика изменений. А чтобы успешно конкурировать, компании должны постоянно и в адекватном темпе меняться внутренне. Изменения для компаний становится Влобразом жизниВ», не научившиеся изменяться быстро уходят с рынка. Интеграция в мировую экономику (глобализация) еще более расширяет поле конкурентной борьбы, заставляя российские компании конкурировать с лидерами мирового рынка. Причем конкурировать не только по качеству и стоимости продукции, но и в скорости создания и вывода на рынок новой продукции, инновациях в способах ее предоставлении клиентам, построении собственной бизнес-модели.
На практике подтверждается, что применения современных средств информационной поддержки организационного менеджмента обычно приводит к следующим системным эффектам:
Общее улучшение управляемости и контроля на всех уровнях компании
Снижение времени реакции организации на изменения внешней среды
Усиление способностей к воплощению заданных стратегий
Накопление и способность передачи организационных знаний
Рост стоимости компании тАФ за счет высокой оценки указанных выше факторов
1. Теоретические аспекты организационного менеджмента
В процессе управления осуществляется объединение (интеграция) всех сторон и аспектов деятельности организации в единое целое. Исследование процессов такой интеграции как целостного, комплексного и конкретного социального явления и составляет предмет теории управления организацией.
ВлОрганизационный менеджментВ» тАФ это область управленческой деятельности, направленная на построение организации как системы, предназначенной для эффективной реализации своего целевого назначения. Для бизнес-организации тАФ это реализация конкурентоспособных идей и получение прибыли, для государственных органов тАФ это эффективное регулирование и целенаправленное развитие деятельности в своей сфере ведения. Организационный менеджмент - это специальная область управления, отличная от управления отдельными ресурсами (финансы, персонал и т.п.) или оперативной координации работ, так как они протекают в компании, уже Влвыстроенной организаторомВ». Организатор конструирует бизнес-систему из Вллюдей, механизмов и компьютеровВ» путем постановки и декомпозиции целей, выбора состава, способов реализации и распределения ответственности за выполнение работ.
Управление производством в литературе определяется как менеджмент - система принципов, методов, средств и форм воздействия субъекта управления на управляемый объект, разработанных и применяемых в развитых странах для повышения эффективности производства или иной общественной деятельности. Таким образом, организационный менеджмент следует понимать прежде всего как приложение теории управления к руководству фирмой, проектом, организацией (экономической системой).
Организация - пространственно-временная структура производственных факторов и их взаимодействие с целью получения максимальных качественных и количественных результатов в самое короткое время и при минимальных затратах факторов производства.
Организация обладает следующими общими признаками:
- определение ее характера кадрами и менеджером;
- объединение процессов, которые без этого взаимодействуют нецеленаправленно или неэффективно;
- сохранение как предварительно запланированного порядка процесса, так и оперативного, зависящего от ситуации реагирования работника и менеджера. Незапланированные действия предполагают установление ответственности в менеджменте;
- определенная, зависящая от процесса гибкость, обеспечивающая функционирование системы в изменяющихся условиях;
- единство рабочих процессов и процессов управления, как результат разумного разделения труда.
Организация - единство состояния и процесса, так как она обеспечивает стабильные организационные решения, но является сама лишь относительно стабильной вследствие постоянного развития внешней и внутренней сред фирмы.
Под структурой управления понимается упорядоченная совокупность устойчиво взаимосвязанных элементов, обеспечивающих функционирование и развитие организации как единого целого. Организационная система управления определяется также как форма разделения и кооперации управленческой деятельности, в рамках которой осуществляется процесс управления по соответствующим функциям, направленным на решение поставленных задач и достижение намеченных целей. С этих позиций структура управления представляется в виде системы оптимального распределения функциональных обязанностей, прав и ответственности, порядка и форм взаимодействия между входящими в ее состав органами управления и работающими в них людьми.
Ключевыми понятиями структур управления являются элементы, связи (отношения), уровни и полномочия.
Элементами организационной структуры управления могут быть как отдельные работники (руководители, специалисты, служащие), так и службы либо органы аппарата управления, в которых занято то или иное количество специалистов, выполняющих определенные функциональные обязанности. Есть два направления специализации элементов организационной структуры управления:
а) в зависимости от состава структурных подразделений организации вычленяются звенья структуры управления, осуществляющие маркетинг, менеджмент производства, научно-технического прогресса и т.п.;
б) исходя из характера общих функций, выполняемых в процессе управления, формируются органы, занимающиеся планированием, организующие производство, труд и управление, контролирующие все процессы в организации.
Структура управления обеспечивает выполнение общих и конкретных функций управления, сохраняет целесообразные вертикальные и горизонтальные связи и разделение элементов управления.
Вертикальное разделение определяется числом уровней управления, а также их подчиненностью и директивными отношениями. Горизонтальное разделение осуществляется по отраслевым признакам. Оно может быть ориентировано на:
- подпроцессы промышленного производства;
- изготавливаемые изделия;
- пространственные производственные условия.
Организационная структура регулирует:
- разделение задач по отделениям и подразделениям;
- их компетентность в решении определенных проблем;
- общее взаимодействие этих элементов.
Тем самым фирма создается как иерархическая структура.
Основные законы рациональной организации:
- упорядочение задач в соответствии с важнейшими точками процесса;
- приведение управленческих задач в соответствии с принципами компетентности и ответственности (согласование компетентности и ответственности, согласование Влполя решенияВ» и доступной информации, способность компетентных функциональных единиц принять к решению новые задачи);
- обязательное распределение ответственности (не за сферу, а за ВлпроцессВ»);
- короткие пути управления;
- баланс стабильности и гибкости;
- способность к целеориентированной самоорганизации и активности;
- желательность стабильности циклически повторяемых действий.
На организационную структуру влияют следующие факторы:
- размеры предприятия;
- применяемая технология;
- окружающая среда.
2. Типы организационных структур управления
Организационная структура аппарата управления - форма разделения труда по управлению производством. Каждое подразделение и должность создаются для выполнения определенного набора функций управления или работ. Для выполнения функций подразделения их должностные лица наделяются определенными правами на распоряжения ресурсами и несут ответственность за выполнение закрепленных за подразделением функций.
Схема организационной структуры управления отражает статическое положение подразделений и должностей и характер связи между ними.
Различают связи:
- линейные (административное подчинение),
- функциональные (по сфере деятельности без прямого административного подчинения),
- межфункциональные, или кооперационные (между подразделениями одного и того же уровня).
В зависимости от характера связей выделяются несколько основных типов организационных структур управления:
- линейная;
- функциональная;
- линейно-функциональная;
- матричная;
- дивизиональная;
- множественная.
В линейной структуре управления каждый руководитель обеспечивает руководство нижестоящими подразделениями по всем видам деятельности. Достоинство - простота, экономичность, предельное единоначалие. Основной недостаток - высокие требования к квалификации руководителей. Сейчас практически не используется.
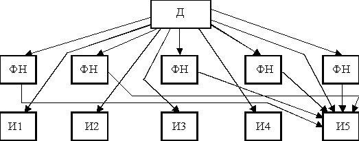
Функциональная организационная структура реализует тесную связь административного управления с осуществлением функционального управления (рис.1).
Д- директор; ФН - функциональные начальники; И - исполнители
Рис. 1. Функциональная структура управления
На рис. 1 административные связи функциональных начальников с исполнителями (И1 - И4) такие же, как и для исполнителя И5 (они не показаны в целях обеспечения ясности рисунка).
В этой структуре нарушен принцип единоначалия и затруднена кооперация. Практически она не используется.
Линейно-функциональная структура - ступенчатая иерархическая. При ней линейные руководители являются единоначальниками, а им оказывают помощь функциональные органы. Линейные руководители низших ступеней административно не подчинены функциональным руководителям высших ступеней управления. Она применялась наиболее широко (рис. 2).
Д- директор; ФН - функциональный начальники; ФП - функциональные
подразделения; ОП - подразделения основного производства.
Рис. 2. Линейно-функциональная структура управления
Иногда такую систему называют штабной, так как функциональные руководители соответствующего уровня составляют штаб линейного руководителя (на рис.2 функциональные начальники составляют штаб директора).
Дивизиональная (филиальная структура) изображена на рис. 3. Дивизионы (филиалы) выделяются или по области деятельности или географически.

Рис. 3. Дивизиональная структура управления
Матричная структура (рис. 4, 5) характерна тем, что исполнитель может иметь двух и более руководителей (один - линейный, другой - руководитель программы или направления). Такая схема давно применялась в управлении НИОКР, а сейчас широко применяется в фирмах, ведущих работу по многим направлениям. Она все более вытесняет из применения линейно-функциональную.

Рис. 4. Матричная структура управления, ориентированная на продукт
Множественная структура объединяет различные структуры на разных ступенях управления. Например, филиальная структура управления может применяться для всей фирмы, а в филиалах - линейно-функциональная или матричная.

Рис. 5. Матричная структура управления по проектам
3. Сравнение структур управления
Анализ достоинств и недостатков структур управления позволяет найти критерии их оптимального использования.
Линейно-функциональная система обеспечивает, начиная со второго уровня иерархии, деление задачи управления Влпо функциямВ». Штабы могут создаваться в центральных и других органах управления, образовывая штабную иерархию.
Эта структура управления характеризуется:
- высокой централизацией стратегических решений и децентрализацией оперативных,
- организацией директивных связей по однолинейному принципу,
- преобладающим применением инструментов координации с технической поддержкой.
По идее штабы должны давать консультации и участвовать в подготовке решений, но не давать конкретных директив. Однако вследствие своей профессиональной компетентности их сотрудники часто оказывают сильное неформальное влияние на линейных руководителей. Если же они выполняют только рекомендательную функцию, то возникает риск, что их работа слабо влияет на ход производственных процессов.
Структура имеет следующие преимущества:
- обеспечивает высокую профессиональную специализацию сотрудников,
- позволяет точно определить места принятия решений и необходимые ресурсы (кадровые),
- способствует стандартизации, формализации и программированию процессов управления.
Недостатки:
- образование специфических для функциональных подразделений целей затрудняет горизонтальное согласование,
- структура жестка и с трудом реагирует на изменения.
Дивизиональные структуры управления ориентируются на изделия, рынки сбыта, регионы.
При этом обеспечивается:
- относительно большая самостоятельность руководителей дивизионов,
- организация директивных связей по линейному принципу,
- относительно мощное использование инструмента координации с технической поддержкой,
- быстрая реакция на изменения рынка,
- освобождение высших руководителей фирмы от оперативных и рутинных решений,
- снижение конфликтных ситуаций вследствие гомогенности целей в дивизионе.
К числу недостатков этой структуры относят:
- относительно высокие затраты на координацию ввиду децентрализации вплоть до отдельного финансирования из бюджета и системы расчетных цен,
- при децентрализации теряются преимущества кооперации, что часто требует централизации выполнения отдельных функций (НИОКР, снабжение и т.д.).
Многомерные формы организации и управления характеризуются применением двух (матричная) или нескольких (тензорная) критериев разделения задач.
Общими признаками такой организационной формы являются:
- лимитированное пространство принятия решений инстанциями менеджмента,
- организация директивных связей по многолинейному принципу,
- большие затраты на координацию между инстанциями.
Можно различить структуры, ориентированные на производство и на проект. Структура, направленная на производство, не ограничена временными рамками. Здесь имеется функциональная область менеджмента (где находятся многие стабильные организационные решения) и менеджмент по изделию (горизонтальный срез, охватывающий все предприятия).
Проблемы такой организации состоят:
- в регулировании задач, компетентности и ответственности менеджеров по изделиям,
- больших затратах на координацию,
- возможных директивных конфликтах.
Структуры, направленные на проект, как правило, ограничены по срокам и характерны для сложных и рисковых проектов (рис. 5).
Их проблемы состоят:
- в конфликтах между инстанциями и менеджерами проектов (противоречивые указания, ресурсные конфликты),
- неуверенности менеджеров в реальности сроков выполнения задач по проектам.
Для предприятий (фирм), действующих на международном рынке, может применяться трехмерная (тензорная) структура управления: изделие - регион - функция.
Проблемы такой структуры управления:
- конфликт из-за власти между представителями нескольких инстанций;
- преобладающая работа в группах и, следовательно, возможная задержка в принятии решений и коллективная ответственность (безответственность).
Поэтому требуется однозначное регулирование компетентности и нормальные рабочие отношения между партнерами.
Пример трехмерной структуры управления фирмы ВлДоу корнингВ» приведен на рис. 6. В фирме имеется 10 основных направлений деятельности. По ним создано 10 производственных советов под председательством менеджера направления, подчиненного генеральному директору фирмы. Их основные задачи - обеспечение конкурентоспособности продукции направления и решение экономических вопросов по сбыту. Производственные советы называют поэтому Влцентрами прибылиВ». Функциональные службы имеют основной задачей обеспечение наиболее полного использования имеющихся производственных, трудовых и материальных ресурсов. Соответственно они называются Влцентрами издержек производстваВ». В фирме осуществляется единое перспективное планирование в трех измерениях.

Рис. 6. Трехмерная схема управления фирмы ВлДоу корнингВ»
4. Положения о подразделениях управления и должностные инструкции
Как следует из подраздела 3, эффективность управления фирмой во многом зависит от четкого разграничения компетентности отдельных служб (подразделений) управления, их ответственности и обеспечения в них нормальных рабочих взаимоотношений.
Поэтому скелет управления - его организационная структура тАУ должен обрастать Влмускулатурой управленияВ». Этому способствуют следующие нормативные документы:
- положения об отделах и службах,
- должностные инструкции.
Сложилась следующая структура положения об отделе (службе):
- общие положения,
- задачи,
- структура,
- функции,
- права,
- взаимоотношения с другими подразделениями,
- ответственность.
Первичным элементом структуры управления является служебная должность. Должностные инструкции обеспечивают четкое разграничение обязанностей и прав между сотрудниками фирмы. Они содержат:
- общую часть,
- основные задачи и обязанности,
- права,
- ответственность работника.
Обычно должностная инструкция является основой аттестации сотрудника по результатам его деятельности.
5. Совет директоров как орган управления акционерной компанией
В мировой практике управления акционерной компанией присутствует, как правило, своеобразный надстроечный орган управления (надстройка над исполнительными органами - президентом, вице- президентом) - Совет фирмы (наблюдательный Совет, Совет директоров). Уже во время поиска вкладчиков наипервейшим делом является создание такого Совета.
Считается, что важны все четыре составляющие успеха бизнеса:
- хороший состав управленцев,
- хороший план дела,
- хорошие вкладчики,
- хороший Совет директоров.
Функции такого Совета:
А. Соблюдение интересов вкладчиков:
- работать на благо вкладчиков и контролировать для них программы компании;
- способствовать решительным действиям компании и ориентироваться на их одобрение вкладчиками;
- доводить до акционеров результаты финансовых ревизий и основных докладов.
Б. Финансовое управление и контроль:
- рассматривать и принимать финансовые программы,
- устанавливать и объявлять дивиденды;
- устанавливать и контролировать политику по акциям;
- одобрять бюджет на год;
- предоставлять на выбор акционерам независимых ревизоров по рекомендации президента.
В. Общие направления и планы:
- проверять исполнительскую дисциплину;
- определять общую политику компании;
- влиять на содержание и качество долгосрочного плана;
- представлять предложения по приобретениям и реорганизации на одобрение акционеров.
Г. Организация работы с кадрами:
- следить за изменениями в оргструктуре;
- избирать председателя совета и других руководителей;
- утверждать разделение обязанностей между председателем Совета и президентом;
- рассматривать работу президента;
- одобрять рекомендации президента по назначениям, поощрениям и отстранениям менеджеров, непосредственно подчиненных
президенту;
- устанавливать оплату председателю и президенту.
Д. Оперативный контроль:
- одобрять действующий бюджет и рассматривать прогнозы по его выполнению на каждом заседании;
- определять необходимый объем информации, представляемый совету президентом;
- вырабатывать рекомендации по активизации деятельности компании.
Е. Разное:
- определять политику окладов, пенсий, премий;
- следить за моральным климатом;
- назначать комитеты по отдельным вопросам.
Заседание Совета собирается ежемесячно в первый год, дважды в квартал во второй год существования фирмы и далее ежеквартально.
Перечень рекомендаций членам Совета:
- никогда не работайте без бизнес-плана, годового бюджета и прогнозов;
- не лезьте слишком далеко "на кухню", но и не уходите далеко от нее;
- встречайтесь по графику со стандартной повесткой дня;
- помогайте президенту.
Советы президенту:
- никогда не начинайте год, не имея бюджета;
- установите зону контроля для эффективного управления;
- установите систему открытых связей с Советом;
- не перенаправляйте работу наверх;
- передавайте работу вниз;
- не управляйте компанией Влв прогулке по нейВ»;
- учитесь быть сильным и волевым;
- учитесь общаться на простом языке;
- знайте, как надо вести документацию;
знайте, как выполняются Ваши указания, как фильтруется Ваша почта, как составляется порядок дня.
6. Практика управления крупной зарубежной фирмой
Фирмы в зарубежных странах могут состоять из одной фирмы, а могут включать значительное число компаний, объединенных так называемой системой участия, то есть путем участия в акционерном капитале других фирм. Суть системы участия заключается в том, что для контроля над акционерным обществом достаточно владеть определенной долей его акций. Отсюда разные типы контроля:
- через полную собственность, когда все или почти все акции фирмы принадлежат одному лицу, группе лиц или одной фирме;
- через большинство акций, предполагающее владение собственностью 51% выпущенных акций;
- через механизм соподчинения, когда обладание большинством акций одной фирмы, в свою очередь владеющей контрольным пакетом другой фирмы, влечет за собой и контроль над этой фирмой;
- через меньшинство акций, когда акции фирмы распылены и достаточно иметь небольшой процент их, чтобы иметь контроль над фирмой.
Согласно подсчетам экспертов ООН свыше 60% заграничных филиалов и дочерних компаний, принадлежащих американским, английским и японским фирмам, являются их полной собственностью и более 30% - подконтрольные компании с преимущественным владением акциями. По другим подсчетам 80% родственных компаний американских фирм и 75% английских находятся либо в полной собственности материнских компаний, либо контролируются ими через владение большей частью акций. В свою очередь 58% прямых инвестиций западноевропейских ТНК в США приходится на полностью принадлежащие им дочерние компании и 34% - на компании, где они владеют более 50% акций. Вместе с тем следует отметить, что в последние годы расширение рамок собственности ТНК, в частности американских и японских, шло в значительной степени за счет приобретения пакетов акций в компаниях смешанного владения, особенно в развивающихся странах.
Важно иметь в виду, что сам по себе факт участия одной компании в акционерном капитале другой не всегда свидетельствует о наличии отношений контроля и подчинения. Контроль над другой компанией обеспечивается лишь владением контрольным пакетом ее акций. В практической деятельности акционерных компаний устанавливается определенный минимум контрольного пакета акций, который в связи с распыленностью акций между массой мелких и средних акционеров заметно уменьшился. Обычно для контроля над крупной промышленной корпорацией достаточно обладать 10% ее акций, а иногда и еще меньшей долей.
Однако понятие контроля не является простым и не исчерпывается концентрацией акций в руках одной или нескольких компаний. Контролировать деятельность фирмы - это значит определять ее стратегию, политику, выбор долгосрочных целей и программ, иметь решающее влияние или власть.
Методы и степень контроля зависят от совокупности многих факторов, среди которых важное значение имеют формы связей и зависимостей от материнской компании и связей с другими родственными компаниями. Характерно то, что управленческий контроль со стороны материнской компании за деятельностью родственных фирм идет в значительной степени по линии установления производственных, финансовых, технологических, научно-технических, экономических и других видов связей.
О наличии контроля над той или иной компанией обычно судят на основании совокупности различных признаков, включая финансовые, персональные и другие связи. Используя систему участия, крупнейшие фирмы сформировали сложнейшие комплексы связанных между собой промышленных, финансовых, торговых и других компаний. Однако не только для крупных, но и для мелких и средних компаний участие в акционерном капитале другого предприятия остается наиболее удобным способом привлечения чужих средств для установления контроля более сильной компании над более слабой.
Важную роль в современных условиях играют холдинг-компании, то есть держательские компании, создаваемые с целью владения контрольными пакетами ценных бумаг, главным образом промышленных фирм. Контролируя промышленную компанию, которая имеет участие в ряде других фирм и кредитно-финансовых учреждений, можно полностью или частично контролировать всю цепь этих компаний.
Система участия, как правило, скрепляется личной унией, которая проявляется в том, что одни и те же лица занимают руководящие посты (председателей и членов правления, директоров и управляющих) в различных компаниях и банках. Личная уния получила чрезвычайно широкое распространение. Она служит одним из главных методов расширения сферы влияния крупных компаний. Часто она используется не только в качестве дополнения к системе участий, но и в качестве самостоятельного средства установления контроля над другими фирмами. Личная уния выступает также как один из главных путей все более активного сращивания банковского капитала с промышленным.
Фирма, контролирующая деятельность других компании, обычно называется материнской компанией или головной фирмой. В зависимости от размеров капитала, принадлежащего материнской компании, а также правового положения и степени подчинения фирмы, находящиеся в сфере влияния головной компании, можно подразделить на следующие виды: филиалы (branch), дочерние компании (subsidiary), ассоциированные компании (associated company - в Англии, affiliated company - в США).
Филиал не пользуется юридической и хозяйственной самостоятельностью. Он не имеет собственного баланса, устава, действует от имени и по поручению материнской компании, имеет обычно одинаковое с ней наименование. Решение деловых вопросов филиала зависит от головной фирмы. Почти весь акционерный капитал филиала принадлежит материнской компании.
Дочерние компании являются юридически самостоятельными. Заключение сделок и вся документация дочерних компаний (в том числе составление балансов) ведутся отдельно от материнской компании. Они имеют достаточную финансовую базу и имущество, необходимое для осуществления самостоятельной хозяйственной деятельности. Дочерние компании проводят раздельно с головной компанией заседания правления и общие собрания акционеров. Материнское общество не несет никакой ответственности по обязательствам своих дочерних компаний. Вместе с тем материнская компания осуществляет строгий контроль за деятельностью принадлежащих ей дочерних компаний, который обеспечивает владение контрольным пакетом акций. Этот контроль состоит не только в наблюдении и координации хозяйственной деятельности, но и в определении состава Правления, назначении директоров, которые в свою очередь обязаны принимать указания от контролирующей фирмы и отчитываться перед ней.
Дочерние компании могут владеть акциями других компаний, которые по отношению к головной фирме являются внучатыми. Внучатые компании в свою очередь также могут владеть акциями других фирм и т.д.
Ассоциированная компания юридически и хозяйственно самостоятельна и не находится под контролем фирмы, владеющей ее акциями.
Используя систему участия, крупнейшие фирмы создают сложнейшие многоступенчатые комплексы связанных между собой компаний.
Аппарат управления в крупных многоотраслевых международных компаниях (ТНК) можно разбить на следующие три основные уровня управления: высший уровень (Top management), включающий Совет директоров (Наблюдательный совет), Комитеты, Правление; средний уровень (Middle management), представленный центральными службами; низовой уровень (Lover management) - оперативно-хозяйственные подразделения (производственные отделения, стратегические центры хозяйствования). Существенной особенностью современной структуры управленческого аппарата крупных фирм является отделение стратегических и координационных задач управления от оперативной деятельности. Наметилось четкое разграничение функций между тремя уровнями управления: высший уровень управления ориентирован в первую очередь на разработку стратегических направлений и целей развития, координацию деятельности в глобальном масштабе, принятие важнейших производственно-хозяйственных и технических решений; средний уровень призван обеспечить эффективность функционирования и развития фирмы путем координации деятельности всех подразделений; низовой уровень сосредоточен на оперативном решении задач по организации хозяйственной деятельности в рамках отдельных структурных подразделений, главной задачей которых является выполнение установленных заданий по выпуску продукции и получению прибыли.
Средства и методы для достижения поставленных целей оперативное звено управления разрабатывает и осуществляет самостоятельно, однако лишь в рамках тех связей и взаимозависимостей, которые устанавливаются внутри фирмы и регулируются высшим и средним звеньями управления.
Высшее руководство фирмы и его функции (Тор management). Высшее руководство представлено Советом директоров (Наблюдательным Советом) и Правлением. Распределение функций между Советом директоров и Правлением коротко можно определить следующим образом: Совет директоров осуществляет выработку общей политики. Правление - ее практическую реализацию.
Совет директоров (Board of directors) избирается на общем собрании акционеров. Число членов Совета директоров определяется уставом фирмы и в последующем может изменяться. Во главе Совета директоров стоит председатель. Правление формально избирается Общим собранием акционеров или пайщиков, а фактически назначается Советом директоров и действует под его непосредственным контролем.
Правление возглавляется президентом и состоит из нескольких членов, назначаемых Советом директоров, которые либо руководят определенными закрепленными за ними участками работы, либо только принимают участие в решении вопросов на заседаниях Правления. Члены Правления получают определенное (обычно высокое) вознаграждение, которое выплачивается в форме заработной платы, а иногда в виде отчислений от прибыли.
Целевой подход, практикуемый в руководящих органах ТНК при принятии решений, предъявляет высокие требования к уровню организации деятельности фирмы по их реализации. В этой связи особое значение приобретает усиление роли лица, выступающего в качестве непосредственного организатора работы всего управленческого персонала компании. Такой фигурой в ТНК является Главный администратор (Chief executive officer), который также именуется Главным руководителем. Он сочетает функции исполнителя по отношению к Совету директоров и распорядителя по отношению к подведомственным ему звеньям управления.
Если Правление выступает как орган выработки коллективных решений по вопросам текущего оперативного управления, то Главный администратор несет единоличную ответственность за их реализацию.
В распределении между Правлением и Главным администратором функций применительно к различным компаниям имеется много как общих черт, так и особенностей, определяемых законодательством каждой страны, уставом фирмы, сложившимися традициями и даже описанием должностных инструкций.
Главный администратор, назначаемый Советом директоров, несет всю полноту ответственности за текущее управление деятельностью фирмы и обязан постоянно информировать его о положении дел в фирме и важнейших факторах, влияющих на ее активность. В современных условиях значительно расширился круг вопросов, по которым Главный администратор может принимать самостоятельные решения, более четко стала определяться его личная ответственность за конкретные вопросы оперативного управления.
Совершенствование на современном этапе деятельности оперативного звена управления не исчерпывается только изменением функций Главного администратора. Оно дополняется формированием иерархии распорядителей более низкого ранга, которые конкретизируют оперативное руководство в соответствии с принципом специализации отдельных функций. Речь идет о вице-президентах, входящих в состав Правления и наделенных правами и обязанностями. Ими могут быть вице-президенты, возглавляющие либо производственные подразделения-отделения или группы отделений, либо функциональные службы.
В крупных американских компаниях обычно насчитывается 15-20 вице-президентов, причем в зависимости от полномочий и возложенной на них ответственности они именуются ведущими, старшими распорядителями, просто вице-президентами и т.д. Функции между ними четко разграничены. Обычно ведущие вице-президенты осуществляют руководство группами, объединяющими производственные отделения, ведают вопросами финансов, руководят центральными службами. С усилением дифференциации полномочий особо выделяется функция, связанная с осуществлением международных операций.
Характерным является предоставление вице-президентам большой самостоятельности в решении всех вопросов, относящихся к компетенции руководимых ими подразделений при полной личной ответственности за порученное дело. Тем самым Главный администратор разгружается от значительного объема текущей оперативной работы и сосредоточивает свое основное внимание на вопросах координации и контроля за деятельностью подчиненных ему звеньев. Однако дифференциация полномочий между вице-президентами, наделенными оперативной самостоятельностью, не ведет к их автономности. Напротив, она предполагает систематическую координацию их действий исходя из единой программы, определяемой политикой фирмы. Иначе говоря, усиливается функция согласования действий отдельных руководителей, в чем особую роль играет Главный администратор.
Увеличение объема управленческой деятельности в связи с ростом масштабов и усложнением производства обусловило появление у главного оперативного руководителя фирмы двух-четырех помощников, ответственных за определенные виды работ. Это привело к созданию нового органа коллективного управления текущими операциями, который именуется в зависимости от того, кто им руководит группой президента или группой высшего руководителя. Этот орган состоит из 4-5 членов, отвечающих за различные области деятельности фирмы (маркетинг, финансы, руководство, научные исследования) и наделенных всеми полномочиями главного оперативного руководителя в закрепленной за ним сфере. Основная функция такого органа заключается в координации управления оперативной деятельностью на высшем уровне. Эта цель достигается путем поддержания тесного повседневного контакта между членами группы, которые, помимо обязанностей, связанных с работой в данном звене управления, курируют различные производственные подразделения. Все решения в группе принимаются на коллегиальной основе. В то же время каждый ее член может принимать самостоятельные решения по любому вопросу текущего оперативного управления.
Усиление централизации в управлении крупными промышленными фирмами требует постоянного совершенствования механизма оперативного управления, что в современных
Вместе с этим смотрят:
10 способов решения квадратных уравнений
РЖнварiантнi пiдпростори. Власнi вектори i власнi значення лiнiйного оператора