Обработка результатов эксперимента
ОГЛАВЛЕНИЕ ВВЕДЕНИЕ1. ОШИБКИ ИЗМЕРЕНИЙ
1.1. Цели математической обработки результатов эксперимента
1.2. Виды измерений и причины ошибок
1.3. Типы ошибок измерения
1.4. Свойства случайных ошибок
1.5. Наиболее вероятное значение измеряемой величины
1.6. Оценка точности измерений
1.7. Понятие доверительного интервала и доверительной вероятности
1.8. Обнаружение промахов
1.9. Ошибки косвенных измерений
1.10. Правила округления чисел
1.11. Порядок обработки результатов измерений
1.12. Обработка результатов измерений диаметра цилиндра
Контрольные вопросы
2. ЗАКОНЫ РАСПРЕДЕЛЕНИЯ СЛУЧАЙНЫХ ВЕЛИЧИН
2.1. Виды случайных величин и законы их распределения
2.2. Числовые характеристики случайных величин, заданных своими распределениями
2.3. Основные дискретные и непрерывные законы распределения
2.4. Понятие статистической гипотезы и статистического критерия
2.5. Вероятность ошибок первого и второго рода
2.6. Проверка гипотезы вида закона распределения вероятностей
Контрольные вопросы
3. НАХОЖДЕНИЕ ИНТЕРПОЛИРУЮЩИХ КРИВЫХ
3.1. Графический метод обработки результатов
3.2. Функциональные шкалы и их применение
3.3. Аналитические методы обработки результатов
3.3.1. Способ средней
3.3.2. Метод наименьших квадратов
3.3.3. Интерполирование функций
3.3.4. Параболическое интерполирование
Контрольные вопросы
4. ОСНОВЫ НОМОГРАФИИ
4.1. Номограммы в декартовой системе координат
4.2. Составные номограммы с помеченными линиями
Контрольные вопросы
5. ТИПОВЫЕ ЗАДАЧИ МАТЕМАТИЧЕСКОЙ ОБРАБОТКИ ЭКСПЕРИМЕНТАЛЬНЫХ ДАННЫХ
ЛИТЕРАТУРА
Изложены некоторые разделы математической обработки результатов наблюдений и экспериментов о действиях со случайными величинами, определения и оценки законов их распределения, аналитического и графического отображения результатов.
ВВЕДЕНИЕПри исследовании технических систем могут использоваться теоретические и эмпирические методы познания. Каждое из этих направлений обладает относительной самостоятельностью, имеет свои достоинства и недостатки. В общем случае, теоретические методы в виде математических моделей позволяют описывать и объяснять взаимосвязи элементов изучаемой системы или объекта в относительно широких диапазонах изменения переменных величин. Однако при построении теоретических моделей неизбежно введение каких-либо ограничений, допущений, гипотез и т.п. Поэтому возникает задача оценки достоверности ( адекватности ) полученной модели реальному процессу или объекту. Для этого проводится экспериментальная проверка разработанных теоретических моделей. Практика является решающей основой научного познания. В ряде случаев именно результаты экспериментальных исследований дают толчок к теоретическому обобщению изучаемого явления. Экспериментальное исследование дает более точное соответствие между изучаемыми параметрами. Но не следует и преувеличивать результаты экспериментальных исследований, которые справедливы только в пределах условий проведенного эксперимента.
Таким образом, теоретические и экспериментальные исследования дополняют друг друга и являются составными элементами процесса познания окружающего нас мира.
Как правило, результаты экспериментальных исследований нуждаются в определенной математической обработке. В настоящее время процедура обработки экспериментальных данных достаточно хорошо формализована и исследователю необходимо только ее правильно использовать. Круг вопросов, решаемых при обработке результатов эксперимента, не так уж велик. Это - вопросы подбора эмпирических формул и оценка их параметров, вопросы оценки истинных значений измеряемых величин и точности измерений, вопросы исследования корреляционных зависимостей и некоторые другие.
Настоящее учебное пособие не претендует на оригинальность. Оно содержит некоторые результаты фундаментальных и прикладных работ в области обработки результатов экспериментальных исследований [1..13]. Пособие может служить практическим руководством по обработке результатов эксперимента как студентам, так и научным сотрудникам и инженерам.
1. ОШИБКИ ИЗМЕРЕНИЙОсновой всего естествознания является наблюдение и эксперимент.
Наблюдение - это систематическое, целенаправленное восприятие того или иного объекта или явления без воздействия на изучаемый объект или явление. Наблюдение позволяет получить первоначальную информацию по изучаемому объекту или явлению.
Эксперимент - метод изучения объекта, когда исследователь активно и целенаправленно воздействует на него путем создания искусственных условий или использует естественные условия, необходимые для выявления соответствующих свойств. Достоинствами эксперимента по сравнению с наблюдением реального явления или объекта является:
1. Возможность изучения в тАЬчистом видетАЭ, без влияния побочных факторов, затемняющих основной процесс;
2. В экспериментальных условиях можно получить результат более быстро и точно;
3. При эксперименте можно проводить испытания столько раз, сколько это необходимо.
Результат эксперимента или измерения всегда содержит некоторую погрешность. Если погрешность мала, то ею можно пренебречь. Однако при этом неизбежно возникают два вопроса: во- первых, что понимать под малой погрешностью, и, во- вторых, как оценить величину погрешности. То есть, и результаты эксперимента нуждаются в определенном теоретическом осмыслении.
1.1. Цели математической обработки результатов экспериментаЦелью любого эксперимента является определение качественной и количественной связи между исследуемыми параметрами, либо оценка численного значения какого-либо параметра.
В некоторых случаях вид зависимости между переменными величинами известен по результатам теоретических исследований. Как правило, формулы, выражающие эти зависимости, содержат некоторые постоянные, значения которых и необходимо определить из опыта.
Другим типом задачи является определение неизвестной функциональной связи между переменными величинами на основе данных эксперимента. Такие зависимости называют эмпирическими.
Однозначно определить неизвестную функциональную зависимость между переменными невозможно даже в том случае, если бы результаты эксперимента не имели ошибок. Тем более не следует этого ожидать, имея результаты эксперимента, содержащие различные ошибки измерения.
Поэтому следует четко понимать, что целью математической обработки результатов эксперимента является не нахождение истинного характера зависимости между переменными или абсолютной величины какой-либо константы, а представление результатов наблюдений в виде наиболее простой формулы с оценкой возможной погрешности ее использования.
1.2. Виды измерений и причины ошибокПод измерением понимают сравнение измеряемой величины с другой величиной, принятой за единицу измерения.
Различают два типа измерений: прямые и косвенные. При прямом измерении измеряемая величина сравнивается непосредственно со своей единицей меры. Например, измерение микрометром линейного размера, промежутка времени при помощи часовых механизмов, температуры - термометром, силы тока - амперметром и т.п. Значение измеряемой величины отсчитывается при этом по соответствующей шкале прибора.
При косвенном измерении измеряемая величина определяется (вычисляется) по результатам измерений других величин, которые связаны с измеряемой величиной определенной функциональной зависимостью. Например, измерение скорости по пройденному пути и затраченному времени, измерение плотности тела по измерению массы и объема, температуры при резании по электродвижущей силе, величины силы - по упругим деформациям и т.п.
При измерении любой физической величины производят проверку и установку соответствующего прибора, наблюдение их показаний и отсчет. При этом никогда истинного значения измеряемой величины не получить. Это объясняется тем, что измерительные средства основаны на определенном методе измерения, точность которого конечна. При изготовлении прибора задается класс точности. Его погрешность определяется точностью делений шкалы прибора. Если шкала линейки нанесена через 1 мм , то точность отсчета
0,5 мм не изменить если применим лупу для рассматривания шкалы. Аналогично происходит измерение и при использовании других измерительных средств.
Кроме приборной погрешности на результат измерения влияет еще ряд объективных и субъективных причин, обуславливающих появление ошибки измерения - разности между результатом измерения и истинным значением измеряемой величины. Ошибка измерения обычно неизвестна, как неизвестно и истинное значение измеряемой величины. Исключение составляют измерения известных величин при определении точности измерительных приборов или их тарировке. Поэтому одной из важнейших задач математической обработки результатов эксперимента и является оценка истинного значения измеряемой величины по данным эксперимента с возможно меньшей ошибкой.
1.3. Типы ошибок измеренияКроме приборной погрешности измерения (определяемой методом измерения) существуют и другие, которые можно разделить на три типа:
1. Систематические погрешности обуславливаются постоянно действующими факторами. Например, смещение начальной точки отсчета, влияние нагревания тел на их удлинение, износ режущего лезвия и т.п. Систематические ошибки выявляют при соответствующей тарировке приборов и потому они могут быть учтены при обработке результатов измерений.
2. Случайные ошибки содержат в своей основе много различных причин, каждая из которых не проявляет себя отчетливо. Случайную ошибку можно рассматривать как суммарный эффект действия многих факторов. Поэтому случайные ошибки при многократных измерениях получаются различными как по величине, так и по знаку. Их невозможно учесть как систематические, но можно учесть их влияние на оценку истинного значения измеряемой величины. Анализ случайных ошибок является важнейшим разделом математической обработки экспериментальных данных.
3. Грубые ошибки (промахи) появляются вследствие неправильного отсчета по шкале, неправильной записи, неверной установки условий эксперимента и т.п. Они легко выявляются при повторном проведении опытов.
В дальнейшем будем считать, что систематические и грубые ошибки из результатов эксперимента исключены.
1.4. Свойства случайных ошибокСлучайные ошибки бывают как положительные, так и отрицательные разной величины, не превосходящей определенного предела. Если обозначить через Х истинное значение измеряемой величины, а результат первого измерения - а1, то разность
Х - а1 = х1 или а1 - Х = х1называют истинной абсолютной ошибкой одного измерения. Одновременно она является случайной (при исключении систематических и грубых ошибок).
Если измерения провести многократно в одних и тех же условиях, то результаты отдельных измерений одинаково надежны. Такую совокупность измерений а1, а2 ..аn называют равноточными измерениями. Если проанализировать достаточно большую серию равноточных измерений и соответствующих случайных ошибок измерений, то можно выделить 4 свойства случайных ошибок:
1. Число положительных ошибок почти равно числу отрицательных;
2. Мелкие ошибки встречаются чаще, чем крупные;
Величина наиболее крупных ошибок не превосходит некоторого определенного предела, зависящего от точности измерения. Самую большую ошибку в ряду равноточных измерений называют предельной ошибкой;4. Частные от деления алгебраической суммы всех случайных ошибок на их общее близко к нулю, т.е.

На основе указанных свойств при учете некоторых допущений математически достаточно строго выводится закон распределения ошибок, описываемый следующей функцией:
, где s - дисперсия измерений (см. ниже);
е - основание натуральных логарифмов;
х - истинная абсолютная ошибка измерений.
Закон распределения случайных ошибок является основным в математической теории погрешностей. Иначе его называют нормальным законом распределения. Особое значение в пользу широкого использования закона Гаусса имеет следующее обстоятельство: если суммарная ошибка измерения появляется в результате совместного действия ряда причин, каждая их которых вносит малую долю в общую ошибку (т.е. нет доминирующих причин), то по какому бы закону не были распределены ошибки, вызываемые каждой из причин, результат их совместного действия приведет
к нормальному распределению ошибок. Эта закономерность является следствием так называемой центральной предельной теоремы Ляпунова и хорошо соотносится с введенным понятием случайной ошибки.
Наряду с нормальным законом распределения ошибок могут встречаться и другие.
1.5. Наиболее вероятное значение измеряемой величиныДопустим, что для определения истинного значения Х измеряемой величины было сделано n равноточных измерений с результатами а1, а2 . .аn. Естественно, что ряд этих чисел будет больше Х, другие меньше Х и неясно, какое из этих чисел ближе всего подходит к Х.
Представим результаты измерений в виде очевидных равенств:
а1 = Х - Dх1; а2 = Х - Dх2; .. ; аn = Х - Dхn.Естественно, что истинные абсолютные ошибки D хi могут принимать как положительные, так и отрицательные значения.
Суммируя левые и правые стороны равенств получим

Поделим обе части равенства на число измерений n и получим
. Величина
является среднеарифметическим величины Х. Если число n достаточно велико ( при n® ¥), то согласно четвертому свойству случайных ошибок
. Это же видно и по кривой Гаусса (рис. 1), где всякой положительной погрешности соответствует равная ей отрицательная.
Из изложенного следует, что
Х = а при n ® ¥ ,т.е. при бесконечном числе измерений истинное значение измеряемой величины равно среднеарифметическому значению результатов всех измерений. При ограниченном числе измерений истинное значение будет отличаться от среднеарифметического и необходимо оценить величину этого расхождения: Х = а ± Dх.
Следует еще раз подчеркнуть, что среднеарифметическое значение, принимаемое за истинное значение измеряемой величины, является наиболее вероятным значением. Среди значений аi могут оказаться значения, которые в действительности ближе к истинному значению.
Отклонение D х вероятнейшего значения а от его истинного значения Х называют истинной абсолютной ошибкой.
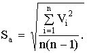
1.6. Оценка точности измеренийДля ряда равноточных измерений а1, а2 ..аn определим его среднеарифметическое значение а и составим разности (а - а1), (а - а2), .., (а - аn).
Каждую из этих разностей называют вероятнейшей ошибкой отдельного измерения (Vi). Вероятнейшие ошибки, как и истинные ошибки D хi = (Х - аi), бывают положительные и отрицательные, нулевые. Рассмотрим

т.е. алгебраическая сумма вероятнейших ошибок равна нулю при любом числе измерений. Истинные случайные ошибки таким свойством не обладают.
Вероятнейшие ошибки Vi лежат в основе математической обработки результатов измерений: именно по ним вычисляют предельную абсолютную ошибку D аi среднеарифметического а и тем самым оценивают точность результата измерений.
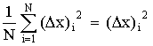
Средняя истинная случайная ошибка (иначе - среднее отклонение отдельного измерения) определяется выражением (D х1+Dх2+..+Dхn)/ n.
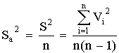
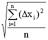
Величина [ (Dх1)2+(Dх2)2+..+(Dхn)2] / n представляет средний квадрат случайной ошибки или дисперсию S2 выборки (при ограниченном n) или генеральной совокупности s 2 (при бесконечном n). Средняя квадратичная ошибка отдельного измерения S =
является лучшим критерием точности, чем средняя случайная ошибка, т.к. не происходит компенсации положительных и отрицательных ошибок D хi и сильнее учитывается действие крупных ошибок.
Поскольку истинное значение Х измеряемой величины неизвестно, то неизвестны и истинные случайные ошибки
хi. Для определения средней квадратичной ошибки S используется положение теории случайных ошибок, что при большом числе измерений n справедливо равенство
. Различный знаменатель объясняется тем, что величины
хi являются независимыми, а из n величин Vi независимыми являются n-1, т.к. в величину Vi входит а, само определяемое из этих же n измерений.
Важно, что не зная самих истинных случайных ошибок удается вычислить среднюю квадратичную ошибку определенного измерения:
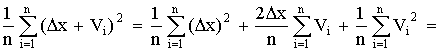
. Оценим теперь погрешность результата всей серии эксперимента, т.е. определим величину D х = Х - а.
Для этого проведем преобразование выражения
Sn2 =
=
= 
.
Если повторить серии по n измерений в каждой N ðàç, ìîæíî ïîëó÷ить средние значения а1, а2, .. , аN и погрешности результатов измерений
и среднюю среднеквадратичную погрешность серии
Sa2 =
.
При большом числе N S2a ® s 2a

Усредняя выражение S2n по числу серий N, получаем
Sa2 = (D x)2 = Sn2 -
. Учитывая что при большом n S2n ® s 2 и S2 ® s 2 получаем искомую
связь между дисперсиями всего опыта s 2a и отдельного эксперимента s 2
, т.е. дисперсия s 2a результата серии из n измерений в n раз меньше дисперсии отдельного измерения. При ограниченном числе n измерений приближенным выражением s 2a будет S2a
. Выражения s 2a и S2a отражают фундаментальный закон возрастания точности при росте числа наблюдений. Из него следует, что желая повысить точность измерений в 2 раза мы должны сделать вместо одного - четыре измерения; чтобы повысить точность в 3 раза, нужно увеличить число измерений в 9 раз и т.д.
1.7. Понятие доверительного интервала и доверительной вероятностиКак установлено ранее, истинное значение измеряемой величины Х отличается от среднеарифметического a на некоторую величину D x. На рис. 2 представлено расположение истинного значения Х и а, полученного из некоторых измерений а1, а2, а3.
Ясно, что случайные величины а1, а2, а3 обусловят случайный характер абсолютной погрешности D x результата серии измерений, которая будет распределена по закону Гаусса:
. Тогда вместо выражения Х = а ± Dх можно записать а - Dх £ Х £ а + D .
Интервал (а - Dх; а + D х), в который по определению попадает истинное значение X называют доверительным интервалом. Надежностью ( уровнем значимости) результата серии измерений называется вероятность a того, что истинное значение X измеряемой величины попадет в доверительный интервал. Вероятность a выражается в долях единицы или процентах. Графически надежность отражается площадью под кривой нормального распределения в пределах доверительного интервала, отнесенной к общей площади. Выбор надежности определяется характером производимых измерений. Например, к деталям самолета предъявляются более жесткие требования, чем к лодочному мотору, а к последнему значительно больше, чем к ручной тачке. При обычных измерениях ограничиваются доверительной вероятностью 0,90 или 0,95. Для любой величины доверительного интервала ( выраженного в долях s ) по формуле Гаусса может быть просчитана соответствующая доверительная вероятность. Эти вычисления проделаны и сведены в таблицу, имеющуюся практически во всей литературе по теории вероятности. На рис. 3 представлены значения надежности a при величине доверительного интервала ± s , ± 2s , ± 3s. Эти значения доверительной вероятности рекомендуется запомнить.
По рис. 3 видно, что величина абсолютной погрешности D x может быть представлена в виде К× s а, где К некоторый численный коэффициент, зависящий от надежности a . Однако это справедливо лишь для большого ( бесконечного) числа n. При малых n этим коэффициентом пользоваться нельзя, т.к. величина s а неизвестна. Для того, чтобы получить оценки границ доверительного интервала при малом n вводится новый коэффициент t a . Этот коэффициент предложен английским математиком и химиком В.С. Госсетом, публиковавшим свои работы под псевдонимом ² Стьюдент ² .
И коэффициент t a назвали коэффициентом Стьюдента. Коэффициент Стьюдента отражает распределение случайной величины t = 
при различном n. При n® ¥ ( практически при n ³ 20 ) распределение Стьюдента переходит в нормальное распределение. Значения коэффициента Стьюдента также приводятся практически во всей литературе по теории вероятности.
Зная величину t a можно определить величину абсолютной погрешности D х = t× Sa . Следует отметить, что величина абсолютной погрешности еще не определяет точность измерений. Точность измерений характеризует относительная погрешность, равная отношению абсолютной погрешности D x результата измерений к результату измерений а: e = ± Dх / а. .
1.8. Обнаружение промаховЕсли в ряду измерений встречаются результаты, резко отличающиеся от большей части ряда, то возникает вопрос принадлежности ² выскакивающих ² значений этому ряду измерений. Большие ошибки имеют малую вероятность возникновения. Поэтому следует объективно оценить, является ли данное измерение промахом ( тогда его исключают из ряда ) или же это результат случайного, но совершенно закономерного отклонения. Можно считать каждое измерение промахом, если вероятность случайного появления такого значения является достаточно малой.
Если известно точное значение s , то вероятность появления значения, отличающегося от среднеарифметического а более чем на 3s £ 0,003 и все измерения, отличающиеся от а на 3s ( и больше ) могут быть отброшены, как маловероятные.
Следует иметь в виду, что для совокупности измерений вероятность появления измерения ³ 3s от а всегда больше 0,003. Действительно, вероятность того, что результат каждого измерения не будет отличаться от истинного более чем 3s составляет 1- 0,003 = 0,997. Вероятность того, что все n измерений не будут отличаться от среднего более чем на 3s по правилу умножения вероятностей составит ( 1 - 0,003 ) n. Для не слишком большого n
(1 - 0,003)n » 1 - 0,003× n.
Это значит, что вероятность того, что из 10 измерений хотя бы одно будет случайно отличаться от среднего более чем на 3s будет уже не 0,003, а 0,03 или 3%. А при 100 измерениях вероятность такого события составит уже около 30%.
Обычно число измерений не очень велико. При этом точное значение s не известно, следовательно, отбрасывать измерения, отличающиеся от среднего более чем на 3s , нельзя.
Для оценки вероятности b случайного появления ² выскакивающих² значений в ряду n измерений составлены соответствующие таблицы.
Для применения таблицы вычисляется среднее арифметическое а и средняя квадратичная погрешность S n из всех измерений, включая и подозреваемое значение аk . Затем вычисляется уклонение подозреваемого значения аk от среднего арифметического в долях среднеквадратичной ошибки
Vмакс =
.
По таблице определяется какой вероятности b соответствует полученное значение Vмакс.
Если вероятность появления данного измерения в ряду лежит в диапазоне 0,1 > b > 0,01, то представляется одинаково правильным - оставить это измерение или отбросить. В случае же, когда b выходит за указанные пределы, вопрос об отбрасывании решается практически однозначно. Решая вопрос об отбрасывании полезно посмотреть, как сильно оно меняет окончательный результат по а и S n.
1.9. Ошибки косвенных измеренийЧасто измеряется не непосредственно интересующая нас величина, а другая, зависящая от нее некоторым образом. Например, при резании металлов часто непосредственно измеряются деформации, ЭДС, по которым судят о возникающих силах и температурах. При этом также необходимо оценить ошибку измерения.
При косвенных измерениях значение y измеряемой величины находят по некоторой формуле
y = ¦ (х1, х2, .. , хm),где x1, x2, .. xm - средние арифметические измеряемые ( непосредственно) величины. Рассмотрим функцию общего вида
y = ¦ (х1, х2, .. , хm)где x1, x2, .. , xm - независимые переменные, для определения которых производятся n прямых независимых измерений по каждой xi.
Обозначим значения переменных через среднее значение и отклонения
y ± D y = ¦ (x1 ± D x1, x2 ± D x2, .. , xm ± D xm).Эту функцию представим рядом Тейлора, ограничив его первыми членами ряда ( принимая D xi xi )
y ± D y = ¦ (х1, х2, .. , хn) ±
, где
- производная функции по xi, взятая в точке xi.
Учитывая, что y = ¦ (x1, x2, .. , xm) получаем
D y =
. Чтобы учесть погрешности D xi всех n опытов целесообразно использовать средние квадратические оценки ( D xi )2, так как D xi = 0.
Возведем в квадрат левую и правую части уравнения и разделим на n
. Здесь суммы удвоенных произведений типа

согласно четвертому свойству случайных ошибок ( D xi = 0 ).
Тогда в левой и правой частях имеем среднеквадратические погрешности функции и аргументов
S
. Пример. При тарировке динамометра было получено уравнение зависимости силы от отклонения l луча осциллографа вида P = 25 l. Точность измерения отклонения D l = 1 мм. Тогда
D P =
. В качестве меры точности лучше выступает не абсолютная, а относительная погрешность.
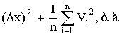
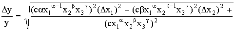
e
. Рассмотрим ее определение на примере. Пусть
y = cx1a × x2b × x3g .Тогда
;
;
.

=
. Аналогично можно определить относительную погрешность и при других зависимостях. Зная относительную погрешность, можно определить и абсолютное ее значение:
D y = y× e y. 1.10. Правила округления чиселВеличина погрешности результата измерений физической величины дает представление о том, какие цифры в числовом значении измеряемой величины сомнительны. Поэтому результаты измерений следует округлять перед тем, как производить с ними дальнейшие вычисления.
Округлять числовое значение результата измерений следует в соответствии с числовым разрядом значащей цифры погрешности. При этом выполняют общие правила округления.
Лишние цифры в целых числах заменяются нулями, а в десятичных дробях отбрасываются ( как и лишние нули ). Например, если погрешность измерения ± 0,001 мм, то результат 1,07005 округляется до 1,070.
Если первая из изменяемых нулями и отбрасываемых цифр меньше 5, остающиеся цифры не изменяются. Например, число 148935, точность измерения ± 50, округление: 148900.
Если первая из заменяемых нулями или отбрасываемых цифр равна 5, а за ней не следует никаких цифр или идут нули, то округление производится до ближайшего четного числа. Например, число 123,50 округляется до 124.
Если первая из заменяемых нулями или отбрасываемых цифр больше 5 или равна 5, но за ней следует значащая цифра, то последняя остающаяся цифра увеличивается на единицу. Например, число 6783,6 округляется до 6784.
1.11.Порядок обработки результатов измеренийПри практической обработке результатов измерений можно последовательно выполнить следующие операции:
Записать результаты измерений; Вычислить среднее значение из n измерений а =
Определить погрешности отдельных измерений Vi = а - аi; Вычислить квадраты погрешностей отдельных измерений Vi 2; Если несколько измерений резко отличаются по своим значениям от остальных измерений, то следует проверить не являются ли они промахом. При исключении одного или нескольких измерений п.п.1..4 повторить; Определяется средняя квадратичная погрешность результата серии измерений
Задается значение надежности a ;Определяется коэффициент Стьюдента t a (n) для выбранной надежности a и числа проведенных измерений n;Находятся границы доверительного интервала Dх = t a (n)× Sa Если величина погрешности результата измерений (п.9) окажется сравнимой с величиной d погрешности прибора, то в качестве границы доверительного интервала следует взять величину
. Записать окончательный результат X = a ± D x ; Оценить относительную погрешность результата серии измерений e =
. 1.12.Обработка результатов измерений диаметра цилиндра
Микрометром было сделано десять замеров диаметра цилиндра. Цена деления микрометра 0,01 мм. Определить диаметр цилиндра с надежностью a = 0,95 и a = 0,99. Оценить влияние числа замеров на точность получаемого результата.
аi: 14,85; 14,80; 14,84; 14,81; 14,79;
14,81; 14,80; 14,85; 14,84; 14,80.
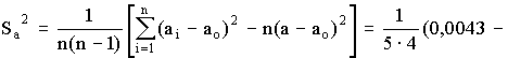
Для первых пяти измерений определим среднеарифметическое значение и границы доверительного интервала. Для удобства расчетов выберем произвольное число ао удобное для расчетов (ао = 14,80 мм) и определим разности (аi - ао) и квадраты этих разностей. Результаты сведены в таблицу.i | аi, мм | аi - ао, мм | (аi - ао)2, мм2 |
1 | 14, 85 | 0, 05 | 0, 0025 |
2 | 14, 80 | 0, 00 | 0, 0000 |
3 | 14, 84 | 0, 04 | 0, 0016 |
4 | 14, 81 | 0, 01 | 0, 0001 |
5 | 14, 79 | - 0, 01 | 0, 0001 |
| 0, 09 | 0, 0043 | |
Найдем среднее значение а и среднеквадратичное отклонение S а:
а - ао = 0, 018 мм; 
( мм2 );
( мм ). Для надежности a = 0,95 и n = 5 t a = 2,78. Абсолютная погрешность измерения D х:
Dх = t a × Sа = 2,78 × 0,0116 = 0,0322 мм.Результат измерения можно представить в виде
(14,818 - 0,032) мм £ а £ ( 14,818 + 0,032) ммили сохраняя в величине погрешности одну значащую цифру
(14,82 - 0,03) мм £ а £ ( 14,82 + 0,03) мм,т.е. 14,79 мм £ а £ 14,85 мм или а = ( 14,82 ± 0,03) мм.
Относительная погрешность
e а =
. Теперь найдем абсолютную и относительную погрешность этих измерений при a = 0,99.
В этом случае t a = 4,60. Тогда
Dх = t a × Sa = 4,60× 1,16× 10-2 = 5,34× 10-2 ( мм ).Следовательно а = ( 14,82 ± 0,05) мм
e а =
. Видно, что с увеличением надежности границы доверительного интервала возросли, а точность результата уменьшилась.
Проведем расчет погрешностей для этих же пяти измерений, незаконно полагая, что s 2 = S 2n (что при n = 5 ошибочно). Для этого используем распределение Гаусса (а не Стюарта). При a = 0,95 ka =
Это дает возможность определить
Dх = ka × Sa = 1,96× 1,16× 10-2 » 2× 10-2 ( мм ),т.е. погрешность получилась меньше примерно на 30%. Если по этой величине погрешности определить величину надежности при t a = ka, то из таблицы коэффициентов Стьюдента получим a 0,90 вместо заданной a = 0,95. Следовательно при малом числе измерений n применение закона нормального распределения с s 2 = S2n вместо распределения Стьюдента приводит к уменьшению надежности результата измерений.
Найдем средние значения и погрешности следующих пяти измеренийi | аi, мм | аi - ао, мм | (аi - ао)2, мм2 |
1 | 14, 81 | 0, 01 | 0, 0001 |
2 | 14, 80 | 0, 00 | 0 |
3 | 14, 85 | 0, 05 | 0, 0025 |
4 | 14, 84 | 0, 04 | 0, 0016 |
5 | 14, 80 | 0, 00 | 0 |
| 0, 10 | 0, 0042 | |
( мм ); а - ао = 0, 02 мм; 
( мм2 ); Sa = 1, 05× 10-2 мм.
При a = 0,95:
Dх = t a × Sa = ± 2,78× 1,05× 10-2 = 2,92× 10-2 ( мм ); e а =
; Х = 14, 82 ± 0, 03 мм. При a = 0,99:
Dх = ± 4,60× 1,05× 10-2 » 5× 10-2 ( мм ); e а = ±
Х = 14, 82 ± 0,05 мм. Результаты практически не отличаются, от результатов полученных из первой серии.
Найдем теперь погрешность результата всей серии из десяти измерений. В этом случае
(мм);
(мм2). Эти величины получаются суммированием последних строк из таблиц частных серий.
ао = 14, 80 мм; а = ао +
( мм ); а - ао = 0, 019 мм. Sa2 =
=
( мм2 ); Sa = 7, 35× 10-3 мм. При a = 0,95 имеем
Dх = ta × Sa = ± 2,26× 7,35× 10-3 = ± 1,7× 10-2 ( мм ); e а =
; а = 14, 819 ± 0, 017 мм. При a = 0,99 получаем
Dх = ta × Sa = ± 3,25× 7,35× 10-2 = ± 2,4× 10-2 ( мм ); e а =
; а = 14, 819 ± 0, 024 мм. Видно, что абсолютная и относительная погрешность результата десяти измерений стали почти в два раза меньше погрешностей пяти измерений.
Применение нормального распределения с s 2 = S2n дает в случае a = 0,95 ka = 1,96 и D х = 1,4 × 10- 2 мм, а величина надежности понижается до 0,91; в случае a = 0,99 получаем ka = 2,58 и D х = 1,9 × 10- 2 мм, а величина надежности понижается до a = 0,97.
Как видно, с ростом числа измерений различие между результатами, вычислениями по распределению Стьюдента и по нормальному распределению уменьшается.
Контр
Вместе с этим смотрят:
10 способов решения квадратных уравнений
РЖнварiантнi пiдпростори. Власнi вектори i власнi значення лiнiйного оператора

