Поиски более рационального способа решения систем линейных уравнений с двумя переменными - методом подстановки
Глава 1. Цель исследования
Глава 2. Методика исследования данной работы
Глава 3. Результаты исследования и их практическая значимость
Список использованной литературы
Приложение
Введение
Основная цель при решении систем линейных уравнений - решить систему уравнений, то есть найти все ее решения или доказать, что решений нет. Для решения системы уравнений с двумя переменными используются:
1-графический способ,
2. способ подстановки,
3 - способ сложения.
Практическое применение этих способов - это решение задач, по алгебре, физике, химии, геометрии.
1 - Кроме этого умение определить без построения графиков число решений системы линейных уравнений с числовыми коэффициентами. Основная цель, которая ставится при изучении темы - понять, то, что вопрос о числе решений системы двух линейных уравнений (если исключить выраженный случай а=0, в=0 для линейного уравнения ах + ву = с) сводиться к определению числа общих точек прямых, являющимися графиками уравнений системы.
Известно, что графиком линейного уравнения является прямая.
Рассмотрим три случая расположения прямой.
Случай 1.
Прямые, являющиеся графиком уравнения, входящих в эту систему, пересекаются. Решим систему уравнений:
![]()
![]()
Уравнениями у = - 1, Iх + 12 и у = - 6х + 18 задаются линейные функции. Угловые коэффициенты прямых, являющихся графиками этих функций, различны. Значит, эти прямые пересекаются, и система имеет единственное решение. Прировняв правые части уравнений, найдем точку пересечения Данная система имеет единственное решение: пара чисел.
Случай 2.
Прямые, являющиеся графиками уравнений системы, параллельны. Решим систему уравнений:
![]()
![]()
Прямые, являющиеся графиками линейных функций у = - О,4х+О,15 и
У = - О,4х+3,2, параллельны, так как их угловые коэффициенты одинаковы, а точки пересечения с осью у различны. Отсюда следует, что данная система уравнений не имеет решений
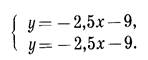
Случай 3.
Прямые, являющиеся графиками уравнений системы, совпадают.


Очевидно, что графики уравнений совпадают. Это означает, что любая пара чисел (х; у), в которой х - произвольное число, а у = - 2,5х - 9, является решением системы. Система имеет бесконечно много решений.
Главная проблема при решении системы линейных уравнений графическим способом у учащихся это?
не умения, выражать одну переменную через другую.
не правильное построение системы координат (различный единичный отрезок на осях ординат и абсцисс).
Рассмотрим способ решения систем линейных уравнений с двумя переменными, называемый способом подстановки. Начнем с задачи.
Ученик задумал два числа. Первое число на 7 больше второго. Если от утроенного первого числа вычесть удвоенное второе число, то получится 27 Какие числа задумал ученик?
Решение: Пусть х - первое число, у - второе число. По условию задачи составим систему уравнений.

В первом уравнении выразим х через у: х = у + 7.
Подставив во второе уравнение вместо переменной х выражение х = у + 7, получим систему

Второе уравнение системы представляет собой уравнение с одной переменной.
Решим его:
Зу+2I-2у=27; у=6.
Подставив в первое уравнение системы вместо переменной у ее значение, равное 6, получим:
х=6+ 7;
х= 13.
Пара чисел (13;
6) является решением системы. Ответ: (13;
6).
Главная проблема при решении системы линейных уравнений способом подстановки у учащихся это?
не умения, выражать одну переменную через другую.
не умение, подставить уже полученную переменную (не видят)
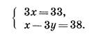
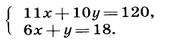
Рассмотрим еще один способ решения систем линейных уравнений - способ сложения. При решении систем этим способом, как и при решении способом подстановки, мы переходим от данной системы к другой, равносильной ей системе, в которой одно из уравнений содержит только одну переменную.
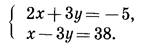
Решим систему уравнений:

В уравнениях этой системы коэффициенты при у являются противоположными числами. Сложив почтенно левые и правые части уравнений, получим уравнение с одной переменной:
3х = 33.
Заменим одно из уравнений системы (1), например первое, уравнением 3х=33. Получим систему:
![]()
Система (2) равносильна системе (1). Решим систему (2). Из уравнения 3х=33 находим, что х=11. Подставив это значение х в уравнение х-3у=38, получим уравнение с переменной у:
Решим это уравнение:
II-Зу=38.
3у=27,у= - -9.
Пара (11; - 9) - решение системы (2), а значит, и данной системы (1).
Воспользовавшись тем, что в уравнениях системы (1) коэффициенты при у являются противоположными числами, мы свели ее решение к решению равносильной системы (2), в которой одно из уравнений содержит только одну переменную.
Геометрически равносильность систем (1) и (2) означает, что графики уравнений 2х+3у= - 5 и х-3у=38 пересекаются.
Главная проблема при решении системы линейных уравнений способом подстановки у учащихся это?
1) не умение, подставить уже полученную переменную (не видят)
Проанализировав основные проблемы решение линейных систем уравнений с двумя переменными, можно сделать вывод:
Главная проблема при решении систем линейных уравнений различными способами у учащихся это?
не умения, выражать одну переменную через другую. (в трех случаях)
не умение, подставить уже полученную переменную (в двух случаях)
И обе эти проблемы встречаются при решении линейных систем уравнений способом подстановки.
Почему я решил проводить исследование в этой области?
Проанализировав основные проблемы решение линейных систем уравнений с двумя переменными, можно сделать вывод.
Главная проблема при решении систем линейных уравнений различными способами у учащихся это?
не умения, выражать одну переменную через другую. (в трех случаях)
не умение, подставить уже полученную переменную (в двух случаях)
И обе эти проблемы встречаются при решении линейных систем уравнений способом подстановки.
Кроме этого, решение задач составлением систем уравнений, по физике, алгебре, геометрии и химии для таких учащихся останутся недоступными. Поэтому я решил, заняться, поиском более рационального способа решения систем линейных уравнений с двумя переменными - методом подстановки.
Я считаю, что моя работа, в этом направлении очень актуальна.
Глава 1. Цель исследования
1. Найти более рациональный способ решения систем линейных уравнений с двумя переменными - методом подстановки.
Из истории решения системы уравнений, содержащей одно уравнение второй степени и одно линейное в древневавилонских текстах, написанных в III-II тысячелетиях до н.э., содержится немало задач, решаемых с помощью составления систем уравнений, в которые входят и уравнения второй степени.
Задача 1 тАЬПлощади двух своих квадратов я сложил:
. Сторона второго квадрата равна
стороны первого и еще 5".
Соответствующая система уравнений в современной записи имеет вид:

Для решения системы (1) вавилонский автор возводит во втором уравнении у в квадрат и согласно формуле квадрата суммы, которая ему, видимо, была известна, получает:
![]()
Подставляя это значение у в первое из системы уравнений (1), автор приходит к квадратному уравнению:
![]()
Решая это уравнение по правилу, применяемому нами в настоящее время, автор находит х, после чего определяет у. Итак, хотя вавилоняне и не имели алгебраической символики, они решали задачи алгебраическим методом.
Диофант, который не имел обозначений для многих неизвестных, прилагал немало усилий для выбора неизвестного таким образом, чтобы свести решение системы к решению одного уравнения. Вот один пример из его тАЬАрифметики".
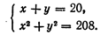
Задача 2. тАЬНайти два числа, зная, что их сумма равна 20, а сумма их квадратов - 208".
Эту задачу мы решили бы путем составления системы уравнений:
![]()
Диофант же, выбирая в качестве неизвестного половину разности искомых чисел, получает (в современных обозначениях):

Складывая эти уравнения, а затем вычитая одно из другого (все это Диофант производит устно), получаем
x = 2 + 10; у = 10 - 2. Далее, х2 + у2 = (г +lO) 2 + (10 - г) 2 == 2z2 + 200.
Таким образом,
2z2 + 200 = 208,
Откуда
z = 2; х = 2 + 10 = 12; у = 10 - 2 = 8.
В поисках различных решений я обнаружил следующее.
Основные методы решения рациональных уравнений.
1) Простейшие: решаются путём обычных упрощений - приведение к общему знаменателю, приведение подобных членов и так далее. Квадратные уравнения ax2 + bx + c = 0 решаются по выведенной нами формуле

Также используется теорема Виета:
x1 + x2 = - b / a; x1x2 = c / a.
2) Группировка: путём группировки слагаемых, применения формул сокращённого умножения привести (если удастся) уравнение к виду, когда слева записано произведение нескольких сомножителей, а справа - ноль. Затем приравниваем к нулю каждый из сомножителей.
3) Подстановка: ищем в уравнении некоторое повторяющееся выражение, которое обозначим новой переменной, тем самым упрощая вид уравнения. В некоторых случаях очевидно что удобно обозначить. Например, уравнение (x2 + x - 5) / x + 3x / (x2 + x - 5) + 4 = 0,легко решается с помощью подстановки (x2 + x - 5) / x = t, получаем t + (3/t) + 4 = 0. Или: 21/ (x2 - 4x + 10) - x2 + 4x = 6. Здесь можно сделать подстановку x2 - 4 = t. Тогда 21/ (t + 10) - t = 6 и т.д.
В более сложных случаях подстановка видна лишь после нескольких преобразований. Например, дано уравнение
(x2 + 2x) 2 - (x +1) 2 = 55.
Переписав его иначе, а именно (x2 + 2x) 2 - (x2 + 2x + 1) = 55, сразу увидим подстановку x2 + 2x=t.
Имеем t2 - t - 56 = 0, t1 = - 7, t2 = 8. Осталось решить x2 + 2x = - 7 и x2 + 2x = 8. В ряде других случаев удобную подстановку желательно знать тАЬзаранее". Например
1) Уравнение (x + a) 4 + (x + b) 4 = c сводится к биквадратному, если сделать подстановку
x = t - (a + b) / 2.
2) Симметрическое уравнение (возвратное) a0xn + a1xn - 1 + тАж + a1x + a0 = 0 (коэффициенты членов, равностоящих от концов, равны) решается с помощью подстановки x + 1/x = t, если n - чётное; если n - нечётное, то уравнение имеет корень x = - 1.
3) Уравнение вида (x + a) (x + b) (x + c) (x + d) = l сводится к квадратному, если a + b = c + d и т.д.
4) Подбор: при решении уравнений высших степеней рациональные корни уравнения anxn + an - 1xn - 1 + тАж+ a1x + a0 = 0 ищем в виде p / q, где p - делитель a0, q - делитель an, p и q взаимно просты, pÎZ, qÎN.
5) тАЬИскусствотАЭ, т.е. решать пример нестандартно, придумать тАЬсвой метод", догадаться что-то прибавить и отнять, выделить полный квадрат, на что-то разделить и умножить и т.д.
6) Уравнения с модулем: при решении уравнений с модулем используется определение модуля и метод интервалов. Напомним, что
f (x), если f (x) ³ 0,| f (x) | =
f (x), если f (x) < 0.
Это уже изученные методы и широко применяемые в практической математике. Выделенные жирным курсивом - это методы мною изучаемые 5) тАЬИскусство", - это то, что мне предстоит найти.
Хотелось бы остановится на некоторых из них.
Метод Гаусса.
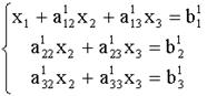
Пусть дана система линейных уравнений
(1)
Коэффициенты a 11,12,.., a 1n,.., a n1, b 2,.., b n считаются заданными. Вектор - строка í x 1, x 2,.., x n ý - называется решением системы (1), если при подстановке этих чисел вместо переменных все уравнения системы (1) обращаются в верное равенство.
Определитель n-го порядка D = ç A ê = ç a ij ç, составленный из коэффициентов при неизвестных, называется определителем системы (1). В зависимости от определителя системы (1) различают следующие случаи.
a). Если D ¹ 0, то система (1) имеет единственное решение, которое может быть найдено методом ГАУССА. б). Если D = 0, то система (1) либо имеет бесконечное множество решений, либо несовместна, т.е. решений нет.
1. Рассмотрим систему 3-х линейных уравнений с тремя неизвестными.
(2).
Метод Гаусса решения системы (2) состоит в следующем: Разделим все члены первого уравнения на
, а затем, умножив полученное уравнение на
, вычтем его соответственно из второго и третьего уравнений системы (2). Тогда из второго и третьего уравнений неизвестное
будет исключено, и получиться система вида:
(3)
Теперь разделим второе уравнение системы (3) на
, умножим полученное уравнение на
и вычтем из третьего уравнения. Тогда из третьего уравнения неизвестное
будет исключено и получиться система треугольного вида:
(4)
Из последнего уравнения системы (4) находим
, подставляя найденное
подставляя найденное значение в первое уравнение, находим
.
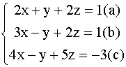
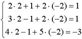
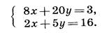
Методом Гаусса решить систему:

Решение: Разделив уравнение (а) на 2, получим систему

Вычтем из уравнения (b) уравнение
, умноженное на 3, а из уравнения (c) - уравнение
, умноженное на 4.

Разделив уравнение
(
) на - 2,5, получим:

Вычтем из уравнения (
) уравнение
, умноженное на - 3:

Из уравнения
находим Z=-2; подставив это значение в уравнение
, получим Y=0,2-0,4Z=0,2-0,4 (-2) =1; наконец, подставив значение Z=-2 и Y=1 в уравнение (a 1), находим X=0,5-0,5Y-Z=0,5-0,5 1 - (-2) =2. Итак, получаем ответ X=2, Y=1, Z=-2.
Проверка:

Линейные уравнения.
Уравнения вида ax+b=0, где a и b - некоторые постоянные, называется линейным уравнением.
Если a¹0, то линейное уравнение имеет единственный корень: x = - b /a.
Если a=0; b¹0, то линейное уравнение решений не имеет.
Если a=0; b=0, то, переписав исходное уравнение в виде ax = - b, легко видеть, что любое x является решением линейного уравнения.
Уравнение прямой имеет вид: y = ax + b.
Если прямая проходит через точку с координатами X0 и Y0, то эти координаты удовлетворяют уравнению прямой, т.е. Y0 = aX0 + b.
Пример 1.1 Решить уравнение
2x - 3 + 4 (x - 1) = 5.
Решение. Последовательно раскроем скобки, приведём подобные члены и найдём x: 2x - 3 + 4x - 4 = 5, 2x + 4x = 5 + 4 + 3,6x = 12, x = 2.
Ответ: 2.
Пример 1.2 Решить уравнение 2x - 3 + 2 (x - 1) = 4 (x - 1) - 7.
Решение.2x + 2x - 4x = 3 +2 - 4 - 7, 0x = - 6.
Ответ: Æ.
Пример 1.3 Решить уравнение.
2x + 3 - 6 (x - 1) = 4 (x - 1) + 5.
Решение.
2x - 6x + 3 + 6 = 4 - 4x + 5,- 4x + 9 = 9 - 4x,
4x + 4x = 9 - 9,0x = 0.
Ответ: Любое число.
Системы линейных уравнений.
Уравнение вида
a1x1 + a2x2 + тАж + anxn = b,
где a1, b1, тАж,an, b - некоторые постоянные, называется линейным уравнением с n неизвестными x1, x2, тАж, xn.
Система уравнений называется линейной, если все уравнения, входящие в систему, являются линейными. Если система из n неизвестных, то возможны следующие три случая:
система не имеет решений;
система имеет ровно одно решение;
система имеет бесконечно много решений.
Пример: решить систему уравнений
x + y - z = 2,2
x - y + 4z = 1,
x + 6y + z = 5.
Решение. При решении систем линейных уравнений удобно пользоваться методом Гаусса, который состоит в преобразовании системы к треугольному виду.
Умножаем первое уравнение системы на - 2 и, складывая полученный результат со вторым уравнением, получаем - 3y + 6z = - 3. Это уравнение можно переписать в виде y - 2z = 1. Складывая первое уравнение с третьим, получаем 7y = 7, или y = 1.
Таким образом, система приобрела треугольный вид
x + y - z = 2,
y - 2z = 1 ,y = 1.
Подставляя y = 1 во второе уравнение, находим z = 0. Подставляя y =1 и z = 0 в первое уравнение, находим x = 1.
Ответ: (1; 1; 0).
Системы уравнений второй степени.
В простейших случаях при решении систем уравнений второй степени удаётся выразить одно неизвестное через другое и подставить это выражение во второе уравнение.
При решении систем уравнений второй степени часто используется также способ замены переменных.
Пример. Среди решений (x; y) системы найти то, для которого сумма (x + y) максимальна. Вычислить значение этой суммы.
2x + y = 7,
xy = 6.
Решение. Из первого уравнения получаем y = 7 - 2x. Подставляя значение y во второе уравнение, получаем систему уравнений
y = 7 - 2x,
7x - 2x2 = 6.
Квадратное уравнение - 2x2 + 7x - 6 = 0 имеет корни X1 = 2; X2 = 3/2. Из первого уравнения получаем Y1 = 3; Y2 = 4.
Решения имеют вид (2;3) и (1,5;4). Наибольшая сумма x + y = 1,5 + 4 = 5,5.
Ответ: 5,5.
Метод введения новых неизвестных при решении уравнений и систем уравнений.
При решении биквадратных и возвратных уравнений мы вводили новые неизвестные (у = х2 для биквадратных уравнений и у = х + 1/х для возвратных уравнений). Введение новых неизвестных применяется также при решении уравнений иного вида и систем уравнений.
Пример Решим уравнение 12/ (х2 + 2х) - 3/ (х2 + 2х - 2) = 1.
Решение. Если попробовать привести дробь в левой части уравнения к одному знаменателю, то получим уравнение четвёртой степени, которое мы умеем решать.
Чтобы решить заданное уравнение, заметим, что в обе дроби входит одно и то же выражение х2 + 2х. Поэтому введём новое неизвестное у, положив, что у = х2 + 2х. Тогда уравнение примет вид
12/у - 3/ (у - 2) = 1 или (у2 - 11у + 24) / (у (у - 2)) = 0,откуда y1 = 3; y2 = 8. Осталось решить уравнения х2 + 2х = 3 (его корни х1 = 1, х2 = -3) и х2 + 2х = 8 (его корни х3 = 2, х4 = -4).
Применённый метод называется методом введения новых неизвестных, и его полезно применять, когда неизвестное входит в уравнение всюду в виде одной и той же комбинации (особенно если эта комбинация содержит степени неизвестного выше первой).
Пример. Решим систему уравнений
![]()
2/х + 3/у = 8,5
/х - 2/у = 1.
Решение.
Обозначим 1/х через U, а 1/у через V.
Тогда система примет вид
2U + 3V = 8,5
U - 2V = 1,
т.е. получится система двух линейных уравнений с двумя неизвестными U и V. Из первого уравнения выражаем U через V: U = 4 - 3V / 2, и подставляя во второе: 5 (4 - 3V / 2) -2V = 1, откуда V = 2. Теперь находим U = 1 и решаем уравнения 1/x = 1, 1/y = 2.
Ответ: x = 1, y = 0,5.
Однородные уравнения.
Пример Решим систему уравнений
8х2 - 6ху + у2 = 0,
х2 + у2 = 5.
Решение. заметим, что для решения системы выполняется условие у ¹ 0. В самом деле, из первого уравнения следует, что если у = 0, то и х = 0, а числа х = 0 и у = 0 не удовлетворяют второму уравнению системы. Разделим первое уравнение на у2.
Получится уравнение
8х2/у2 - 6ху / у2 + у2/у2 = 0 или
8х2/у2 - 6х / у + 1 = 0.
Введём вспомогательное неизвестное U = х / у.
Уравнение примет вид
8U2 - 6U + 1 = 0.
Это квадратное уравнение, имеющее корни U1 = 0,5; U2 = 0,25. Таким образом, из первого уравнения мы получаем что либо x / y = 1/2, либо x / y = 1/4. Осталось подставить выражения у =2х и у = 4х (рассмотрев оба случая) во второе уравнение системы. В первом случае получается уравнение 5х2 = 5, откуда х1 = 1, х2 = - 1; соответственно у1 = 2, у2 = - 2.
Во втором случае получается уравнение17х2 = 5, откуда х3 = Ö (5/17), x4 = -Ö (5/17); соответственно y3 = 4Ö (5/17), y4 = - 4Ö (5 /17).
Первое уравнение системы нам удалось представить как уравнение относительно x / y благодаря тому, что степень всех членов, входящих слагаемыми в это уравнение (8x2, 6xy, y2), одна и та же - она равна двум. Поэтому после деления на y2 каждое слагаемое выразилось через x / y.
Многочлен от двух переменных x и y такой, что степень каждого его члена равна одному и тому же числу k, называется однородным многочленом степени k.
Уравнение вида P (x, y) = 0 называется однородным уравнением степени k относительно x и y, если P (x, y) - однородный многочлен степени k. Однородное уравнение относительно x и y делением на yk (если y = 0 не является корнем уравнения) превращается в уравнение относительно неизвестного x / y. Это свойство однородного уравнения помогает решать многие задачи.
Решение симметрических систем уравнений.
Напомним, что многочлен P (x, y) называется симметрическим, если P (x, y) = P (y, x).
При решении систем уравнений вида
P1 (x, y) = 0,
P2 (x, y) = 0,
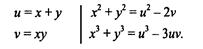
где P1 (x, y) и P2 (x, y) - симметрические многочлены, полезной оказывается такая замена неизвестных: x + y = U, xy = V. Напомним, что любой симметрический многочлен P (x, y) можно представить как выражение от U и V.
Пример Решить систему уравнений
x2 + xy + y2 = 49,
x + y + xy = 23.
Решение. Заметим, что:
x2 + xy + y2 = x2 + 2xy + y2 - x
y = (x + y) 2 - xy.
Сделаем замену неизвестных: x + y = U, xy =V.
Система примет вид:
U2 - V = 49,
U + V = 23.
Сложив эти уравнения, получим уравнение U2 + U - 72 = 0 с корнями U1 = 8,U2 = -9. Соответственно V1 = 15, V2 = 32. Остаётся решить системы уравнений:
x + y = 8,xy = 15,
x + y = - 9,xy = 32.
Система x + y = 8, имеет решения:
x1 = 3, y1 = 5; x2 = 5,
y2 = 3.xy = 15.
Система x + y = - 9, действительных решений не имеет. Ответ: x1 = 3, y1 = 5; x2 = 5, y2 = 3.
Глава 2. Методика исследования данной работы
Методика исследовании.
Моя основная цель, найти более рациональный способ решения систем линейных уравнений с двумя переменными - методом подстановки.
Поэтому я решил использовать метод тАЬИскусство", т.е. решать примеры нестандартно, придумать тАЬсвой метод", догадаться что-то прибавить и отнять, выделить полный квадрат, на что-то разделить и умножить и т.д.
При решении систем уравнений второй степени часто используется также способ замены переменных - его я тоже решил применить.
Итак, для решения проблемы я решил использовать два методы решений:
1. метод "Искусство" - "свой метод"
2. метод замены переменных
Этапы исследования.



Основными методами решения систем являются метод подстановки и метод введения новых переменных.
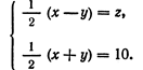
Предлагается симметрическая система уравнений; стабильная замена переменных
![]()
Решение задач:
Старинная задача.
Три сестры пришли на рынок с цыплятами. Одна принесла для продажи 10 цыплят, другая 16, третья 26. До полудня они продали часть своих цыплят по одной и той же цене. После полудня опасаясь,, что не все цыплята будут проданы, они понизили цену и распродали оставшихся цыплят снова по одинаковой цене. Домой все трое вернулись с одинаковой выручкой: каждая сестра получила от продаж 35 рублей.
По какой цене продали они цыплят до и после полудня?
Решение
Обозначим число цыплят проданных каждой сестрой до полудня, через х, у, z. Во вторую половину дня они продали 10 - х, 16 - у, 26 - z. Цену до полудня обозначим через m, после полудня - через n. Для ясности сопоставим эти обозначения.
| Число проданных цыплят | цена | |||
До полудня После полудня | Х 10 - х | У 16 - у | Z 26 - z | m |
Вместе с этим смотрят:
10 способов решения квадратных уравнений
РЖнварiантнi пiдпростори. Власнi вектори i власнi значення лiнiйного оператора
РЖнтегральнi характеристики векторних полiв
Автокорреляционная функция. Примеры расчётов