Перевозка грузов железнодорожным транспортом
МПС РФ
Петербургский государственный университет путей сообщения
Кафедра: Коммерческая и грузовая работа
Курсовая работа
Дисциплина: Организация грузовой и коммерческой работыТема: Перевозка грузов на железнодорожном транспорте
Выполнил:
Студент 3го курса
Заочного отделения
Группа 00 ЭУТ-61
Исаев Денис
Проверила:
Синицина Светлана
Владимировна
Санкт-Петербург
2001г.
СОДЕРЖАНИЕ1.ВВЕДЕНИЕтАжтАжтАжтАжтАжтАжтАжтАжтАжтАжтАжтАжтАжтАжтАжтАжтАжтАжтАжтАжтАж3
2. Виды перевозок..тАжтАжтАжтАжтАжтАжтАжтАжтАжтАжтАжтАжтАжтАжтАжтАжтАжтАж.3
3. Груз и все его характеристикитАжтАжтАжтАжтАжтАжтАжтАжтАжтАжтАжтАжтАж4
3.1 Тараи упаковка грузовтАжтАжтАжтАжтАжтАжтАжтАжтАжтАжтАжтАжтАжтАжтАжтАж8
3.2. Маркировка грузовтАжтАжтАжтАжтАжтАжтАжтАжтАжтАжтАжтАжтАжтАжтАжтАжтАж11
4. Характеристика вагоновтАжтАжтАжтАжтАжтАжтАжтАжтАжтАжтАжтАжтАжтАжтАж.13
5.Документальное оформление перевозоктАжтАжтАжтАжтАжтАжтАжтАжтАж.22
6. Технология доставки грузовтАжтАжтАжтАжтАжтАжтАжтАжтАжтАжтАжтАжтАжтАж29
7. Перерабатывающая способность грузового пунктатАжтАжтАжтАж.44
8. Список литературытАжтАжтАжтАжтАжтАжтАжтАжтАжтАжтАжтАжтАжтАжтАжтАжтАж..47
ВВЕДЕНИЕВ настоящее время грузовое хозяйство является одним из ведущих на железнодорожном транспорте страны. Грузовая и коммерческая работа как производственная сфера железнодорожного транспорта и как отрасль эксплуатационной науки имеет свою более чем столетнюю историю развития. Идет постоянное развитие контейнерных и пакетных перевозок, создается механизированные и автоматизированные транспортно-складские комплексы и автоматизированные системы управления грузовыми станциями и контейнерными терминалами; на промышленном транспорте получили распространение научно обоснованные методы взаимодействия подъездных путей и станций примыкания на основе Единых технологических процессов; применяются методы ускоренного обслуживания грузовых фронтов, централизованные расчеты за перевозку грузов, концентрирования грузовой работы на меньшем числе станций, маршрутизация перевозок и др.
Улучшение организации грузовой и коммерческой работы станций и подъездных путей направлено на обеспечение полною удовлетворения потребностей страны в перевозках грузов с минимальной затратой технических и денежных средств.
Виды перевозокПеревозка грузов малой скоростью по железной дороге может осущевстляться контейнерами, мелкими, малотоннажными, повагонными, групповыми и маршрутными отправками. Пассажирской скоростью отправка производится грузобагажом. Мелкой отправкой считается отгружаемая по одной накладной партия груза массой до 10т. и объемом не более 1/3 вместимости крытого четырехосного вагона, полувагона или площадки четырехосной платформы. Малотоннажной отправкой при перевозке в четырехосных вагонах считается партия груза по одной накладной массой 10-20т. и объемом не более половины вместимости четырехосного вагона. К перевозке малотоннажными отправками допускаются все тарные и штучные грузы, кроме скоропортящихся. Групповой отправкой считается предъявляемая по одной накладной партия груза. Для перевозки, которой требуется предоставление более одного вагона, но менее маршрута. Маршрутной отправкой считается предъявляемая по одной накладной партия груза в количестве, соответствующем норме массы установленной для маршрута.
Контейнеры предназначены для бестарной перевозки, поэтому целый ряд грузов производственно- технического назначения и товаров народного потребления может перевозиться в контейнерах в первичной (бумажной) упаковке, а в отдельных случаях совсем без упаковки.
Грузоотправители обязаны подготавливать грузы для перевозок таким образом, чтобы обеспечивать безопасность движения, сохранность грузов, вагонов, контейнеров. Грузы, в том числе при перевозке на экспорт через морские порты и пограничные передаточные станции железных дорог Российской Федерации не в прямом международном сообщении, а также в районы Крайнего Севера, в целях предохранения их от повреждения, порчи, утраты и недостачи, а также для предотвращения загрязнения и засорения подвижного состава, железнодорожного полотна и окружающей природной среды, должны предъявляться к перевозке в упакованном виде с применением транспортной тары, соответствующей стандартам и техническим условиям.
Груз и все его характеристики
Все продукты промышленности и сельского хозяйства называются товарами.
Товары с момента их сдачи на транспорт для доставки по назначению называются грузами.
К транспортной характеристике груза относятся не только физико-химические свойства груза, его масса, объем, восприимчивость к атмосферным явлениям, влияние на окружающую среду, степень опасности и т. д., но и вид упаковки, ее качество, габаритные размеры
и т. д.
Транспортные характеристики грузов должны учитываться при выборе оптимальных способов доставки и разработки технологических процессов переработки грузов.
В процессе перевозки и хранения во многих грузах под действием различных внешних факторов тАФ механических, климатических, биологических тАФ происходят количественные и качественные изменения, которые необходимо учитывать при разработке условий хранения и транспортировки грузов.
Грузы, поступающие на транспорт, подразделяются на три группы: сырье, полуфабрикаты и фабрикаты (готовая продукция).
Классификацию грузов по признакам с целью разработки общих по группам условий перевозок и хранения называют транспортной.
Все грузы подразделяются на генеральные, навалочные и наливные, скоропортящиеся, живность.
Генеральные грузы, в свою очередь, подразделяются на: тАФ металлоконструкции (прокатный, листовой металл, металл в чушках, пакетах, проволока, слитки, заготовки, трубы, ленточный металл в рулонах, металлолом и т. д.), подвижные технические средства (на гусеничном ходу и на колесах);
тАФ железобетонные изделия и конструкции (балки, шпалы, колонны, плиты, панели, трубы, кольца и т. д.);
тАФ контейнеры (крупно-, средне- и малотоннажные, специальные и т. д.);
тАФ в транспортных пакетах (на поддонах, без поддонов, в обвязке, в пленке и т. д.);
тАФ штучные в упаковке (в ящиках из различных материалов и размеров);
тАФ катно-бочковые (бочки, барабаны различных конструкций с разными грузами, корзины), крупногабаритные и тяжеловесные;
тАФ лесоматериалы (круглый лес, пиломатериалы, фанера, древесная плита).
Наливные и навалочные грузы для перевозок и хранения требуют специализированного подвижного состава и складов.
Имеются режимные грузы, требующие особых условий перевозок (опасные, скоропортящиеся, живность).
Качество грузов является одним из важнейших признаков, определяющих их транспортабельность.
Под качеством грузов понимается совокупность свойств, которые определяют пригодность продукции к ее использованию по окончании транспортировки и хранения.
Известны три основных метода, с помощью которых исследуются свойства грузов и определяется их качество: органолептический, лабораторный и натурный.
При использовании органолептического метода свойства и качество грузов устанавливаются с применением органов чувств человека тАФ зрения, обоняния, осязания, вкуса и слуха.
Таким образом оцениваются и определяются внешний вид груза и тары, гранулометрический состав, цвет, запах, зараженность вредителями, загрязненность и др.
Преимущества этого метода: доступность применения, простота и большая скорость выполнения, отсутствие расхода продукции при исследовании.
Недостатки: субъективность оценок, невозможность определить количественные характеристики грузов.
Известны несколько видов лабораторных исследований грузов.
Физический тАФ для определения плотности, влажности, вязкости, угла естественного откоса, температур вспышки, воспламенения и др.
Механический тАФ для определения прочностных характеристик, упругости, сопротивления сдвигу, скручиванию, разрыву и др.
Химический тАФ для установления химического состава вещества.
Биологический тАФ для выявления в грузе живых организмов, вызывающих его порчу.
Оптический тАФ для исследования внутреннего строения вещества.
Результаты лабораторных исследований указываются в паспортах, удостоверениях о качестве, ветеринарных свидетельствах, сертификатах и других документах.
Натурный метод применяется с целью проверки внешнего состояния груза, его тары и упаковки, определения объемно-массовых характеристик, температуры, влажности, угла естественного откоса и др. непосредственно в производственных условиях до погрузки грузов. При этом используются весы, термометры, рулетки, барометры и другие приборы.
На практике для определения качества и свойств грузов применяется комплексный метод, включающий элементы всех трех видов исследований.
Различные физико-химические свойства грузов обусловливают способ их перевозки, перегрузки, хранения, а также выбор тары и упаковки.
Крупность кусков (частиц) навалочных и насыпных грузов определяет их гранулометрический состав. В зависимости от размера типичных кусков грузы делятся на группы.
Гранулометрический состав влияет на ряд свойств грузов тАФ сыпучесть, гигроскопичность, способность к слеживанию, смерзанию, уплотнению. Сыпучесть характеризует способность частиц груза перемещаться под действием силы тяжести или внешних воздействий. Сыпучесть грузов определяет величину угла естественного откоса.
Под углом естественного откоса подразумевается двугранный угол между плоскостью груза и горизонтальной плоскостью основания штабеля. Различают угол естественного откоса в покое и в движении. При этом величина угла естественного откоса в покое больше, чем в движении. Скважистость характеризует наличие и объем пустот между отдельными частицами груза. Пористость определяет наличие и объем внутренних пор и капилляров в массе груза.
Гранулометрический состав, пористость и скважистость в значительной мере определяют способность груза к уплотнению, которая влияет на величину статической нагрузки вагона.
Некоторые грузы характеризуются повышенной распыляемостью тАФ это уголь, цемент, мука и др. Производство грузовых операций. с этими грузами требует соблюдения правил техники безопасности и производственной санитарии. Распыление приводит к значительным потерям грузов и загрязнению окружающей среды. Для уменьшения распыления грузов применяются различные меры: используются специализированный подвижной состав, вентиляционные устройства с фильтрами, поверхность груза покрывается пленками и др.
Производство грузовых операций усложняется для грузов, которые обладают способностью слеживаться, прилипать к стенкам подвижного состава и специальных складских устройств. Слеживаемости подвержены многие насыпные и навалочные грузы тАФ цемент, гипс, минерально-строительные грузы, руды и др. Прочность слеживания зависит от влажности груза, времени транспортирования и хранения, способа складирования, климатических условий.
Ряд грузов обладает и другими свойствами тАФ вязкостью, абразивностью.
В некоторых грузах под действием внутренних химических и биохимических процессов происходит повышение их температуры, что может привести к самовозгоранию. К таким грузам относятся зерно, каменные и бурые угли, торф, сланцы, руды.
При перевозке и хранении этих грузов следует обеспечить соответствующие благоприятные условия, в частности активную вентиляцию. Реакция окисления, характерная для самонагревающихся грузов, может вызвать их самовозгорание, если не обеспечивать отвод тепла из массы груза.
Этот фактор следует учитывать при расположении и специализации складов и грузовых фронтов, производстве грузовых операций и в процессе перевозки этих грузов.
В зависимости от физико-химических свойств грузов выбирают специализированный подвижной состав, стараются перевозить их в определенный период года, разрабатывают особые механизмы для облегчения погрузки и выгрузки. Например, большой проблемой является выгрузка смерзшихся грузов в зимнее время.
Тара и упаковка грузов
Грузы на основании действующих стандартов на продукцию в зависимости от вида упаковки делятся на три группы: 1) транспортируемые в таре; 2) транспортируемые без тары с частичной защитой отдельных узлов (деталей); 3) транспортируемые без тары.
Транспортабельность грузов достигается при помощи упаковки, представляющей собой совокупность тары и упаковочных материалов, или применением специальных средств, облегчающих погрузочно-разгрузочные работы и крепление грузов.
Тарой называется изделие, в которое помещаются готовая продукция, полуфабрикаты или сырье для качественной и количественной сохранности при транспортировании от места производства или заготовки продукции до места ее потребления и хранения. Тара делится на потребительскую, дополнительную и транспортную.
П о т р е б и т е л ь с к а я тАФ это тара, в которую расфасовывают товары для доставки их потребителю (флаконы, бутылки, коробки, банки, пачки и т. п.).
Д о п о л н и т е л ь н а я тара (барьерная, групповая) предназначается для изделий, упакованных предварительно в потребительскую тару. Дополнительная тара выполняет функции защиты изделий главным образом от климатических и агрессивных воздействий внешней среды, а также служит для укрупнения и комплектации партий изделий. К ней относятся коробки, чехлы, мешки, картонные ящики и т. п.
Т р а н с п о р т н а я тара служит для упаковки разнообразных грузов, предварительно упакованных в потребительскую и дополнительную тару, а также неупакованных. Она обеспечивает необходимую защиту главным образом от механических повреждений при транспортировании упакованного груза.
К транспортной таре относятся деревянные, металлические, картонные ящики и ящики из полимерных материалов, бочки, барабаны, фляги, мешки и другие виды тары.
В зависимости от жесткости конструкции, т. е. способности сохранять первоначальную форму, тара подразделяется на жесткую, полужесткую и мягкую.
Ж е с т к а я тара изготовляется из металла, пластмассы, дерева, стекла, картона, древесно-волокнистых материалов и из бумажной массы.
Для изготовления п о л у ж е с т к о й тары применяются пластмассы, бумага, некоторые сорта картона, полимерные материалы.
М я г к а я тара изготовляется из ткани, пленок, бумаги, полимерных и комбинированных материалов. Хотя в понятие тары не включаются контейнеры, поддоны, различные виды специализированных транспортных средств, они частично принимают на себя ее функции. Упаковочные и вспомогательные материалы служат для завертывания, плотной укладки и амортизации с целью защиты груза от повреждений. Они применяются при упаковке груза в потребительскую и транспортную тару, а также при размещении его непосредственно в контейнере. К упаковочным и вспомогательным материалам относятся древесина, бумага, картон, пластики, вата, ткани, пенопласт, комбинированные и другие подобные этим материалы.
Защита грузов от повреждений и потерь состоит в применении комплекса мероприятий, предусматривающих правильный выбор упаковочных средств, соблюдение правил погрузочно-разгрузочных работ, транспортирования и хранения с учетом особенностей груза и влияния различных внешних факторов, которые воздействуют на груз и на упаковочные средства. На груз при погрузочно-разгрузочных работах, транспортировании и хранении влияют три основные группы внешних воздействий:
м е х а н и ч е с к и е тАФ удары, толчки, вибрация, статические нагрузки, трение;
к л и м а т и ч е с к и е тАФ влияние атмосферных осадков, влажного воздуха, морского тумана, солнечной радиации, переменной температуры и др.;
б и о л о г и ч е с к и е тАФ влияние жизнедеятельности организмов, насекомых и грызунов.
С учетом этих факторов надлежит правильно и соответственно выбирать тару и упаковочные материалы, рассчитывать и применять их для различных климатических районов.
Защитный комплекс в общем виде включает последовательно следующие основные процессы: консервацию, обертку в бумагу, ткань или другой материал, упаковку в тару тАФ потребительскую, дополнительную, транспортную. В зависимости от свойств груза могут применяться все процессы защитного комплекса или некоторые из них.
Упаковка наряду со своей основной функцией защиты груза должна обеспечивать: удобство выполнения погрузочно-разгрузочных и складских работ механизированным и ручным способами; наиболее полное использование всех транспортных средств по объему, площади и грузоподъемности тары, аккуратный внешний вид тары и сохранение товарного вида упакованного груза.
Изделия, не подвергающиеся порче от механических и атмосферных воздействий, но имеющие узлы или детали, подверженные повреждению и порче (обработанные рабочие поверхности, встроенные механизмы), допускается транспортировать в открытом виде с применением частичной защиты. Она осуществляется с помощью консервационных смазок, лаков, обертыванием водонепроницаемыми материалами, устройством деревянных щитов, колпаков, обшивки досками легкоповреждаемых мест.
Упакованные грузы допускаются к перевозке только в том случае, если тара удовлетворяет техническим требованиям, изложенным в государственных стандартах. Грузоотправители обязаны предъявлять груз к перевозке в прямом железнодорожном, водном и прямом смешанном железнодорожно-водном сообщении в таре, обеспечивающей сохранность груза при транспортировании в подвижном составе железных дорог, на автомобильном транспорте и судах пароходств. При этом должны также учитываться климатические условия в пути следования и пункте назначения груза. За прочность изготовления тары, расположение и устойчивость груза внутри нее ответственность несет грузоотправитель.
Размеры и конструкция тары должны обеспечивать наилучшее использование грузоподъемности и вместимости вагонов и судов. Штучные грузы должны пакетироваться или объединяться в более крупные погрузочные единицы (пачки, связки, мотки).
В. целях улучшения качества. тары для обеспечения сохранности продукции при транспортировании и хранении, а также более рационального использования материалов в последнее время введен ряд новых стандартов и внесены изменения в действующие.
Стандарты на тару разделяются на о б щ е н о р м а т и вн ы е (установочные), в которых излагаются общие технические требования, приводится расчет конструктивных элементов (толщина материалов, типы, конструкции и т. д ) и стандарты конкретных видов тары для упаковки определенной продукции. Первый вид стандартов, как правило, применяется для разработки стандартов второго вида.
Стандарты, специализированные для отдельных видов продукции, учитывают специфические требования продукции, без которых не обеспечивается ее сохранность (повышенная чистота обработки, применение дополнительных защитных покрытий, характер соединения деталей и т. д.).
Наиболее часто применяются виды транспортной тары: ящики разных типов тАФ дощатые плотные, решетчатые, ящики-лотки (для ягод), щитовые, фанерные (спички, чай), из гофрированного картона (продтара) и другие, а также барабаны, бочки.
Технические требования, предъявляемые к таре и упаковке грузов, транспортируемых в районы Крайнего Севера и отдаленные районы, изложены в специальном ГОСТе. ГОСТом повышены требования: ящики усиливаются стальной лентой, груз разделяется прокладками, на дно контейнера устанавливается решетка высотой 50 мм и т. д.
Маркировка грузовЦелью маркировки является наглядный показ следующих обязательных требований:
1) каждая отправленная грузовая единица должна следовать определенным путем и достигнуть места назначения;
2) с грузовой единицей следует обращаться бережно во время хранения, транспортирования, при погрузочно-разгрузочных работах и распаковке;
3) груз должен быть доставлен комплектно и в сохранности.
В и д ы гр уз о в ы х ед и н и ц следующие: 1) груз в таре; 2) груз без тары или частично упакованный; 3) несколько единиц груза без тары, скрепленных в виде связки; 4) несколько мест груза в таре, составляющих пакет.
Правильная, четкая маркировка грузов является необходимым условием быстрой доставки их с сохранением качества в процессе транспортирования.
Маркировка транспортной тары регламентируется
ГОСТ 14192 тАФ 77. Маркировка грузов. Этот стандарт устанавливает правила маркировки транспортной тары с грузом при хранеии, погрузочно-разгрузочных работах и перевозке всеми видами транспорта. Этот ГОСТ не распространяется на маркировку тары с опасными, скоропортящимися и требующими особых гигиенических или карантинных условий грузами, а также на маркировку, носящую рекламный характер.
Маркировка должна содержать отличительный текст и при необходимости предупредительные знаки. Отличительный текст состоит из основных и дополнительных надписей.
Основные надписи тАФ это наименование получателя и место назначения.
К дополнительным надписям относятся: масса грузового места-брутто и нетто в килограммах, размер грузового места- длинна, ширина и высота, если они превышают 1м;
наименование отправителя; место отправления; порядковый номер каждого грузового места и количество грузовых мест тАФ через дробь; знаки отправителя тАФ условные обозначения упакованной продукции в числителе дроби перед порядковым номером.
Предупредительные знаки должны указывать правильный способ обращения с грузом а) тАФ Влосторожно, хрупкое!В»; б) тАФ Влкрюками непосредственно не братьВ»; в) тАФ Влверх, не кантоватьВ»; г) тАФ Влбоится нагреваВ»; д) тАФ Влместо строповкиВ»; е) тАФ Влбоится сыростиВ»; ж) тАФ Влцентр тяжестиВ»; з) тАФ Влгерметичная тараВ»; и) тАФ Влбоится излученияВ».
При транспортировании груза в крытом подвижном составе для маркировки тары применяются бумажные, картонные или фанерные ярлыки. В случае длительного хранения груза маркировку допускается наносить непосредственно на тару.
При приеме к перевозке грузов мелкими и малотоннажными отправками на местах общего пользования, кроме нанесения маркировки отправителем, станция отправления или грузоотправитель наносит на каждом грузовом месте железнодорожную маркировку. В ней указывается дробью: в числителе тАФ порядковый номер книги приема грузов к отправлению и через тире тАФ количество мест; в знаменателе тАФ условный номер дороги отправления и через тире тАФ условный номер станции отправления. Железнодорожная маркировка, как правило, должна наноситься на той же стороне грузового места, на которой нанесена отправительская маркировка, и указываться в накладной.
При транспортировании груза на открытом подвижном составе или морским транспортом маркировку следует четко и разборчиво наносить несмываемой краской непосредственно на тару или металлические ярлыки. Маркировка от руки не допускается. Для маркировки рекомендуются черный лак и эмаль соответствующих марок.
В последнее время появился ряд технических устройств для маркировки грузов, которые легко интегрируются в производственный процесс. Среди них система LСР/1000, позволяющая применять бесконтактный способ нанесения крупного шрифта при маркировке и кодировании предметов упаковки, и устройство Lasermark, обеспечивающее маркировку упаковок принципиально новым методом, без использования красителей.
Лазерное маркировочное устройство может использоваться в пищевой, химической и других отраслях промышленности.
Маркировка тары при поставках грузов на экспорт должна производиться в соответствии с образцом, приведенным в заказе-наряде. Надписи при поставках на экспорт производятся на языке, указанном в заказе-наряде. При поставках экспортных грузов в тропическом исполнении следует наносить на таре красной краской букву ВлТВ» в круге и дату упаковки в круге: числитель тАФ месяц, знаменатель тАФ год. Размер знака ВлТВ» тАФ 50 мм, цифр месяца и года тАФ 30 мм.
Маркировка и ярлыки при перевозках опасных грузов с участием морского транспорта должны соответствовать требованиям Правил морской перевозки опасных грузов, а при перевозке железнодорожным транспортом тАФ требованиям Правил перевозки опасных грузов по железным дорогам.
Характеристика вагоновКонструкция вагонов грузового парка оказывает влияние на сохранность грузов, скорость выполнения грузовых операций, эффективность перевозок, безопасность движения поездов, сохранность грузов, максимальное использование грузоподъемности и вместимости, обеспечение комплексной механизации погрузочно-разгрузочных работ и сокращение простоя вагонов под грузовыми операциями.
Парк грузовых вагонов состоит из универсальных (крытых, платформ, полувагонов) и специализированных. В универсальных вагонах могут перевозиться практически все грузы, в специализированных тАФ лишь те, для которых они предназначены.
К специализированным вагонам относятся цистерны, изотермические, зерновозы, муковозы, цементовозы, думпкары, хопперы для перевозки цемента, минеральных удобрений, зерна,
специальные цистерны для перевозки цемента, муки, каустической соды, спирта, сжиженных газов, вязких веществ, двухъярусные платформы для легковых автомобилей, транспортеры для тяжеловесных грузов и др.
По способу загрузки вагоны делят на открытые и закрытые. Вагоны открытого типа имеют значительные преимущества перед крытыми: шире возможность механизации погрузочно-разгрузочных работ, ниже простой вагонов ввиду ускорения погрузки и выгрузки, меньше расходы на постройку, ремонт, содержание, возможны перевозки длинномерных, громоздких грузов.
Технико-эксплуатационная характеристика вагонов приведена в табл. 1.1.
Одной из важных характеристик грузового вагона является его грузоподъемность, под которой понимают максимально допускаемую конструкцией нагрузку вагона, устанавливаемую МПС с учетом полного обеспечения безопасности движения поездов.
Удельная грузоподъемность вагона тАФ это количество тонн грузоподъемности, приходящееся на 1 м' геометрического объема кузова (т/м').
Грузоподъемность и вместимость вагона могут быть полностью использованы при удельной грузоподъемности, равной плотности груза, т. е. массе 1 м' груза в том виде и состоянии, в которых его перевозят по железным дорогам. Если плотность груза меньше удельной грузоподъемности вагона, вместимость вагона используется полностью, а грузоподъемность тАФ не полностью, при большой плотности тАФ наоборот.
При разработке планов перевозок грузов по железным дорогам используют показатели техническая норма загрузки и статическая нагрузка вагона.
Техническая норма загрузки вагона тАФ это обязательное количество груза, которое должно быть погружено в данный тип вагона при полном использовании вместимости или грузоподъемности. Эта норма устанавливается для каждого конкретного типа вагона при загрузке его конкретным грузом (для вагонов тАФ в тоннах, для контейнеров в килограммах). Сетевые технические нормы загрузки вагонов разрабатываются и устанавливаются МПС, местныетАФ дорогами погрузки.
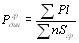
Статическая нагрузка вагон а тАФ это количество тонн погруженного груза, приходящееся в среднем на один вагон. При планировании перевозок статическую нагрузку определяют на основании технических норм загрузки вагонов и соотношения четырех-, шести- и восьмиосных вагонов в общем числе физических единиц при перевозке данного груза:
,
где: ![]()
тАФ доля соответственно четырех-, шести-,восьмиосных вагонов, участвующих в перевозках;
тАФ техническая норма загрузки четырех-, шести-, восьмиосных вагонов данным грузом.
Тип вагона |
Грузоподъемность, Т. |
Тара, т. |
Объем кузова, |
Площадь пола
|
Длина вагона, мм |
Внутренняя ширена вагона мм |
Высота бортов по боковой стене вагона мм |
Технический коэффициент тары |
Удельная грузоподъемность |
Нагрузка от вагона на путь, Т. |
База вагона, мм |
|
Внутренняя |
По осям |
|||||||||||
- |
2 |
3 |
4 |
5 |
6 |
7 |
8 |
9 |
10 |
11 |
12 |
13 |
1. Крытый 4-ос- |
64 |
21,8 |
120,0 |
38,1 |
13 800 |
14 730 |
2760 |
2 91 |
0,341 |
0,533 |
21,45 |
10 000 |
ный с деревянной |
||||||||||||
обшивкой |
||||||||||||
2. То же |
63 |
22,75 |
106,0 |
36,94 |
13 430 |
14 730 |
2750 |
2402 |
0,361 |
0,594 |
21,44 |
9830 |
3. То же |
63 |
22,2 |
90,2 |
36,94 |
13 430 |
14 730 |
2750 |
2402 |
0,352 |
0,698 |
21,30 |
9830 |
4. Крытый 4-ос- |
64 |
23,0 |
120,0 |
38,3 |
13 800 |
14 730 |
2769 |
2791 |
0,359 |
0,533 |
21,75 |
10 000 |
ный цельнометал- |
||||||||||||
лический |
||||||||||||
5. Платформа 4- |
66 |
21,0 |
- |
36,8 |
13 300 |
14 620 |
2770 |
500/400* |
0,315 |
0,56** |
21,70 |
9720 |
осная с металли- |
||||||||||||
ческими бортами |
||||||||||||
6. Платформа 4- |
62 |
22,0 |
- |
35,66 |
12 874 |
14 194 |
2770 |
455/355* |
0,354 |
0,575** |
21,0 |
9294 |
осная с деревян- |
||||||||||||
ными бортами |
||||||||||||
7. 4-осный полу- |
65 |
22,1 |
72,5 |
35,4 |
12 126 |
13 920 |
2878 |
2060 |
0,340 |
0,895 |
21,77 |
8650 |
вагон цельноме- |
||||||||||||
таллнческий |
Продолжение табл. 1.1
2 |
3 |
4 |
5 |
б |
7 |
8 |
9 |
10 |
11 |
12 |
13 |
|
8. 4-осный полу- |
65 |
21,8 |
70,5 |
34,4 |
12 070 |
13 920 |
2850 |
2060 |
0,346 |
0,922 |
21,70 |
8650 |
вагон с деревянной |
||||||||||||
обшивкой |
||||||||||||
9. б-осный полу- |
97 |
29,0 |
102,3 |
42,7 |
14 650 |
16 400 |
2918 |
2365 |
0,299 |
0,948 |
21,00 |
10 440 |
вагон с кузовом |
||||||||||||
из алюминиевых |
||||||||||||
сплавов |
||||||||||||
10. 8-осный полу- |
125 |
45,5 |
137,5 |
53,7 |
18 770 |
20 240 |
2860 |
2502 |
0,364 |
0,909 |
21,3 |
12 070 |
вагон цельнометал- |
||||||||||||
лический |
||||||||||||
11. Цистерна 4- |
62 |
23,1 |
72,7 |
- |
- |
12 020 |
- |
- |
0,385 |
0,860 |
21,3 |
7800 |
осная |
||||||||||||
12. Цистерна 8- |
120 |
48,8 |
137,2 |
- |
20 220 |
21 120 |
- |
- |
0,407 |
0,875 |
21,1 |
13 790 |
осная |
||||||||||||
13. 4-осный изо- |
49 |
32,0 |
82,0 |
41,0 |
16 600 |
18 474 |
2630 |
2680 |
0,653 |
0,598 |
20,5 |
12 300 |
термический вагон |
||||||||||||
14. 4-осный реф- |
39 |
45,0 |
99,8 |
45,55 |
- |
22 080 |
- |
- |
1,154 |
0,391 |
21.0 |
- |
рижераторный ав- |
||||||||||||
тономный вагон |
Примечания. * в знаменателе- высота торцовых бортов.
** Удельная площадь пола,
Однако показатель статическая нагрузка может характеризовать также степень использования вагонов на объектах погрузки (станции, отделении дороги, дороге, сети). В этом случае величина статической нагрузки зависит от перевозимых грузов, имеющих различный объемный вес и, следовательно, по-разному использующих погрузочный объем вагонов; осности и грузоподъемности вагонного парка, способов укладки груза.
Рассчитывают фактическую статическую нагрузку по формуле :

где
общее количество тонн груза, погруженного в вагоны на сети дорог, дороге, отделении, станции, отдельным грузоотправителем;
тАФ количество загруженных вагонов.
Динамическая нагрузка характеризует использование грузоподъемности вагонов в процессе перевозки, т. е. с учетом расстояния пробега. Средняя динамическая нагрузка показывает количество эксплуатационных тонно-километров, приходящееся на
1 вагоно-километр. Различают среднюю динамическую нагрузку груженого вагона и вагона рабочего парка, учитывающую порожний пробег.
Динамическая нагрузка груженого вагона

где
тАФ грузооборот на сети, дороге, отделении, т.км. нетто;
тАФ пробег груженых вагонов, вагоно-км.
Увеличение динамической нагрузки вагона способствует повышению производительности вагона, которая рассчитывается по формуле:
![]()

где
, тАФ среднесуточный пробег вагонов, км/сут;
тАФ коэффициент порожнего пробега вагонов.
В значительной степени эксплуатационные качества конструкции вагонов грузового парка определяются их массой в порожнем состоянии (тарой), которая указывается на раме вагонов, так же как и грузоподъемность.
Система нумерации подвижного состава позволила в восьмизначном номере объединить неповторяющийся инвентарный номер, присвоенный данной единице подвижного состава, основную характеристику его и кодовую защиту достоверности считывания номера.
Первая цифра характеризует род подвижного состава: 2 тАФ крытые грузовые вагоны, 4 тАФ платформы, 6 тАФ полувагоны, 7 тАФ цистерны, 8 тАФ изотермические вагоны, 3 и 9 тАФ прочие вагоны (специализированные и др.).
Общим для всех грузовых вагонов (кроме номеров прочих вагонов, начинающихся с цифры 3) является кодирование осности. Второй знак номера характеризует осность и основные характеристики вагона. Цифры 0-8 обозначают четырехосные, цифра 9 тАФ восьмиосные вагоны. Все шестиосные вагоны и транспортеры отнесены к прочим вагонам, номера которых начинаются с цифры 3
(у шестиосных вторая цифра номера тАФ 6, у транспортеров тАФ 9). Кроме осности, вторая цифра определяет: для крытых вагонов тАФ объем кузова (0 тАФ до 120 м', 1 тАФ более 120 м', 4 тАФ более 120 м' с уширенными дверными проемами), для платформ тАФ длину рамы
(0 тАФ до 13,4 м, 2 тАФ 13,4 м и более), для четырехосных полувагоновтАФ наличие люков в полу и торцовых дверей
(0тАФ с люками и торцовыми дверями, 4 тАФ с люками без торцовых дверей, 8тАФ с глухим кузовом), для цистерн тАФ специализацию, для рефрижераторных вагонов и ледников тАФ особенности конструкции.
Четвертый, пятый и шестой знаки в номере вагона определяют их порядковый номер и характеристик не содержат. В седьмом знаке цифра 9 свидетельствует о наличии у вагона (кроме рефрижераторных) переходной площадки. Восьмая цифра тАФ контрольная. С ее помощью проверяется правильность считывания (передачи) номера. Она наносится слитно с остальными цифрами номера.
Контрольная цифра рассчитывается следующим образом:
Номер вагона 7 4 8 5 4 6 8
Множитель 2 1 2 1 2 1 2
Поразрядное
Произведение 14 4 16 5 8 6 16
Поразрядная
Сумма 1+4+4+1+6+5+8+6+1=42
Контрольным знаком является число, дополняющее поразрядную сумму до ближайшего целого десятка. Если поразрядная сумма кратна 10, то контрольный знак равен нулю. В рассматриваемом примере контрольным знаком будет цифра 8.
Документальное оформление перевозок
При перевозке грузов заключается договор перевозки между железной дорогой и отправителем. Согласно Уставу, дорога обязуется по договору доставить вверенный ей отправителем груз в пункт назначения и выдать его получателю,а отправитель тАФ уплатить за перевозку установленную плату. Содержание договора перевозки излагается в накладной. После оформления накладная принимает форму и силу договора перевозки, заключаемого грузоотправителем и дорогой в пользу третьего лица. Несмотря на то, что грузополучатель не участвует в оформлении этого договора на станции отправления, он также входит в договорные отношения и обязан выполнять определенные требования: принять и вывезти груз, очистить подвижной состав, внести дополнительные платы и сборы, возместить убытки, если они возникли в процессе перевозки данной отправки. По договору грузополучатель приобретает право требовать доставки груза в срок и в полной сохранности.
Договор вступает в силу, когда груз принят станцией отправления вместе с накладной. Дату приема груза к перевозке удостоверяют наложением на накладной календарного штемпеля станции. Отправитель, предъявляя груз к перевозке, представляет станции отправления на каждую отправку заполненный, сброшюрованный комплект перевозочных документов (накладную, дорожную ведомость, квитанцию в приеме груза и корешок дорожной ведомости). Бланки этих четырех документов, именуемых в дальнейшем Влперевозочные документыВ», одинаковы по размеру и расположению общих граф и реквизитов, что дает возможность заполнять их на пишущей машинке под копировальную бумагу, одновременно весь комплект. Перевозочные документы приспособлены для обработки на ЭВМ и сочетают текстовые данные с их кодовыми эквивалентами. Места, выделенные для кодирования информации, обведены жирными рамками и расположены преимущественно в двух вертикальных колонках. Н а к л а д н а я тАФ основной перевозочный документ, сопровождающий груз до станции назначения. Она заполняется грузоотправителем на каждую отправку и при выдаче груза вручается получателю. От правильного заполнения накладной во многом зависит сохранность грузов и выполнение сроков его доставки. Кроме того, точное составление накладной способствует обеспечению безопасности движения поездов, ускорению оборота вагонов и правильности расчетов за перевозки. Таким образом, накладная имеет юридическое и расчетное значение, поэтому ее графы должны заполняться отправителем отчетливо на пишущей машинке без подчисток и помарок, а изменения сведений, внесенных в накладную железной дорогой, должны быть заверены подписью работника дороги и штемпелем станции. На перевозки грузов в местном и прямом сообщении составляют накладные формы ГУ-27 и ГУ-29-0 (комплект перевозочных документов) . В связи с различием условий некоторых видов перевозок и с целью упрощения их оформления и учета предусмотрено составление специализированных накладных на перевозку грузов в универсальных контейнерах, маршрутами и группами вагонов, на пересылку порожних цистерн, специализированного подвижного состава и др.
Д о р о ж н а я в е д о м о с т ь тАФ документ расчетно-финансового значения тАФ содержит данные о сроке доставки груза, о проследовании пунктов перехода с дороги на дорогу (календарные штемпели станций перехода) и др. Дорожная ведомость вместе с накладной сопровождает груз до станции назначения. На станции назначения получатель расписывается в ней в получении груза. Затем с отчетом о выданных грузах ведомость высылают в технологический центр по обработке документов (ТехПД), а оттуда тАФ в информационный вычислительный центр дороги (ИВЦ). По дорожным ведомостям определяют выполненный дорогами объем перевозок, доходы от них, правильность расчетов, выполнение сроков доставки грузов. Квитанция в приеме груза тАФ юридический документ, подтверждающий прием дорогой груза к перевозке от отправителя, которому она выдается. Корешок дорожной ведомости служит основным документом для определения платы за перевозку при централизованных расчетах и для учета и отчетности о выполнении плана перевозок. Он остается на станции отправления, которая с отчетом об отправленных грузах пересылает его в ТехПД, а оттуда тАФ в ИВЦ дороги отправления для обработки и составления статистических данных. Для возможности выполнения карантинных, таможенных и административных правил отправитель обязан вместе с перевозочными документами предъявить соответствующие приложения: сертификаты, удостоверения о качестве хлебных грузов, карантинные сертификаты и карантинные разрешения, ветеринарное свидетельство на грузы, удостоверение о качестве скоропортящегося груза или сертификат, качественный паспорт на нефтепродукты, таможенные разрешения (на вывоз груза за границу) и др. Объявление ценности необходимо главным образом для того, чтобы при полной или частичной утрате, порче или повреждении груза не возникло затруднений в определении размеров убытка, который необходимо возместить отправителю или получателю. Устав предусматривает возможность перевозки с объявленной ценностью. Во всех случаях объявленная ценность не должна превышать стоимости груза. Станции предоставлено право вскрывать отдельные места для проверки фактической стоимости груза и объявленной ценности. Разногласия в определении цены между дорогой и отправителем регулируются экспертизой с оформлением акта. При объявлении ценности грузоотправитель обязан составить опись мест в двух экземплярах, а при перевозке домашних вещей в контейнерах тАФ в трех экземплярах.
В описи грузоотправитель указывает станцию отправления и назначения, отправителя и получателя, род упаковки, отличительные знаки, объявленную ценность и название предметов, упакованных в каждом месте, их число и ценность каждого. В конце описи указывается общая сумма объявленной ценности. Опись подписывается грузоотправителем. В приеме описи в ней расписывается товарный кассир, который одновременно проставляет номер перевозочного документа и календарный штемпель. Один из двух экземпляров описи возвращают грузоотправителю, второй остается в делах станции и всегда может быть затребован службой грузовой и коммерческой работы дороги назначения. Заполненную накладную отправитель обязан до предъявления груза к перевозке предъявить станции для получения разрешения (визы) на завоз груза, занятие подвижного состава и погрузку. Порядок визирования устанавливается начальником станции. Обычно накладные представляют в товарную контору, а их визирование производится начальником станции или по его поручению заведующим товарной конторой. Прежде чем завизировать накладную, станция должна тщательно проверить полноту ее заполнения и соответствие внесенных в нее данных требованиям Правил. При этом проверяют: предусмотрена ли перевозка данного груза планом и заданием, соответствует ли наименование станции и дороги назначения Тарифному руководству № 4 (кн. 2) и открыта ли эта станция для выполнения коммерческих операций с данным грузом; нет ли временного запрещения или ограничения перевозки груза на данную станцию; полноту сведений о наименовании грузополучателя, его адресе, коде; соответствует ли наименование груза Тарифному руководству. Если, согласно Правилам, к накладной должны быть приложены сопроводительные документы, то проверяется наличие их и отметок о них в накладной. При визировании накладной в соответствующих графах указывают номер плана, в счет которого принимается груз, дату ввоза и погрузки груза. Указанные данные заверяются подписью начальника станции или работника, визирующего накладную, после этого она возвращается грузоотправителю. Грузы могут предъявляться отправителем к перевозке как на местах общего, так и необщего пользования. Завоз груза на места общего пользования и прием его к перевозке производятся отправителем по предварительно завизированной накладной. Завезенный груз вместе с накладной предъявляется приемосдатчику станции, который проверяет наличие на ней визы. Тщательным наружным осмотром он должен убедиться в том, что предъявленный груз и его количество соответствуют данным, указанным в накладной, а упаковка не вызывает опасений в утрате, порче или повреждении груза. Одновременно с осмотром грузовых мест проверяют наличие. на них транспортной маркировки. При приеме к перевозке домашних вещей приемосдатчик обязан проверить (перевеской на весах) массу грузовых мест, которая должна указываться в накладной отдельной строкой по каждому наименованию вещей. О приеме груза к перевозке приемосдатчик записывает в книгу приема груза к отправлению (форма ГУ-34). По окончании указанных операций приемосдатчик на оборотной стороне накладной в графе ВлВвоз груза по частямВ» записывает данные о ввозе груза, удостоверяя их своей подписью, и пересылает ее в товарную контору. В соответствии с Уставом при сдаче грузоотправителем и приеме дорогой к перевозке груза должна быть определена и указана в накладной его масса. В зависимости от вида груза его масса может быть определена следующими способами: на весах, по трафарету, по стандарту, расчетным путем, по обмеру и условно. .Масса тарных и штучных грузов определяется только по трафарету, который должен быть нанесен отправителем на грузовых местах до предъявления их к перевозке. Масса грузов, перевозимых насыпью или навалом, определяется взвешиванием на вагонных или элеваторных весах. В случае отсутствия вагонных весов масса грузов, перевозимых навалом, определяется по обмеру или расчетным путем. Массу по обмеру определяют по специальным таблицам. Определение массы грузов, перевозимых наливом в цистернах, производится путем взвешивания или по обмеру, путем замера высоты налива и установления объема налитого груза с применением специальных калибровочных таблиц, издаваемых МПС. При этом масса нефтепродуктов определяется только по замеру, пищевых грузов тАФ на вагонных весах, а при отсутствии их тАФ на товарных весах. При определении массы по замеру отправитель обязан указать в накладной высоту налива, температуру и плотность продукта. Масса грузов, перевозимых в бункерных полувагонах, лесных грузов и дров определяется условно. Способ определения массы груза отправитель обязан указать в соответствующей графе накладной, что имеет важное значение, поскольку в зависимости от этого устанавливается порядок выдачи груза получателю.
Масса груза определяется железной дорогой при погрузке на местах общего пользования, грузоотправителем тАФ при погрузке на местах необщего пользования. Грузоотправители определяют массу грузов по трафарету, стандарту, расчетным путем, по обмеру или условно. Масса грузов в контейнерах определяется грузоотправителем. Грузоотправители и грузополучатели могут определять массу груза на любых типах весов, взвешивание же грузов железной дорогой или с ее участием должно осуществляться лишь на вагонных, товарных или элеваторных весах.При сдаче груза автотранспортной организации, осуществляющей централизованный вывоз, масса груза может определяться на автомобильных весах. Товарный кассир станции, получив накладную (комплект перевозочных документов), проверяет правильность оформления приема груза приемосдатчиком. При этом обращается внимание на соблюдение технической нормы загрузки вагона и на отметки приемосдатчика, принимавшего груз. На основании накладной заполняется дорожная ведомость. Дорожные ведомости являются бланками строгого учета, имеют строго последовательную типографскую нумерацию, серию, на них нанесено наименование дороги отправления. Комплект перевозочных документов (ф. ГУ-29-0) изготавливается без нумерации. После оформления перевозки и присвоения номера он считается бланком строгого учета. Каждому комплекту перевозочных документов присваивается восьмизначный номер по книге нумерации грузовых отправок. Книга нумерации имеет заранее внесенные восьмизначные номера грузовых отправок, причем для каждой станции они различны (неповторяющиеся). Оформляя накладную (комплект перевозочных документов), товарный кассир проставляет в графе ВлМесто для особых отметок и штемпелейВ» отметки о порядке прикрытия вагона в составе поезда, об опасности груза, негабаритности и др. Заполняются данные о вагоне и технической норме загрузки, коды станции и дороги отправления при погрузке средствами дороги отправления. При нецентрализованных расчетах товарный кассир определяет причитающиеся за перевозку платежи (таксирует), взыскивает их с грузоотправителя по квитанции разных сборов (форма ГУ-57), делает об этом отметку в перевозочном документе, проставляет календарный штемпель станции отправления с датой приема груза к перевозке и выдает грузоотправителю квитанцию в приеме груза. При централизованных расчетах все платежи за перевозки грузов и дополнительные сборы начисляются технологическими центрами по обработке документов (техПД) или финансовыми службами через учреждения Центробанка. Накладные, дорожные ведомости и вагонные листы передают в техническую контору и отправляют с грузами на станцию назначения. Корешки дорожных ведомостей и квитанции в приеме груза прилагают к отчету о грузах, принятых к отправлению и погруженных в вагоны (ф. Ф0-4), составляют сопроводительную ведомость (ф. ГУ-4) и сопроводительную опись (ф. ФДУ-93) и пересылают в техПД. После таксировки отправок на каждого грузоотправителя в техПД составляют перечень перевозочных документов, подбирают к нему квитанции в приеме груза, в которых указаны суммы, предъявленные к оплате через госбанк, и высылают их в товарную контору станции отправления для вручения грузоотправителю. При централизованных расчетах особое значение приобретает предварительная таксировка перевозочных документов по заявкам грузоотправителя, передаваемым заблаговременно в товарную контору станции для последующей пересылки их в техПД. Данные предварительной таксировки, полученные из техПД, грузоотправитель переносит в перевозочный документ, а товарный кассир только сверяет данные таксировки и заверяет своей подписью и штемпелем. Квитанция в приеме груза сразу вручается грузоотправителю, в техПД высылается лишь корешок дорожной ведомости. Предварительные заявки рекомендуется подавать за пять дней до начала планового месяца. При нецентрализованных расчетах плата за перевозку груза взыскивается с грузоотправителя в товарной конторе станции отправления наличными деньгами, чеками или платежными поручениями, акцептованными (т. е. подтвержденными к платежу) госбанком. Предприятиям и организациям, имеющим постоянные расчеты по перевозкам со станциями, госбанк выдает лимитированные (на определенную сумму) и нелимитированные чековые книжки. При централизованных расчетах документами, подтверждающими право грузоотправителя рассчитываться за перевозки централизованно, являются справки госбанка или расписки формы ФДУ-89, выданные станцией или техПД взамен лимитированной справки госбанка. Для ряда массовых народнохозяйственных грузов (нефти, лесных грузов и др.), имеющих цены франко-станции назначения, когда расходы по перевозке несет грузоотправитель, наиболее эффективной формой централизованных расчетов является межведомственная централизация. Расчеты за перевозку грузов выполняются безакцептно, т. е. без подтверждения грузоотправителями и грузополучателями согласия на списание с их расчетных счетов причитающихся сумм через учреждения Центробанка. Отличительной особенностью межведомственных централизованных расчетов является то, что они предусматривают определение провозных платежей за перевозки не по каждому перевозочному документу, а в целом по указанным грузам, отгруженным в течение месяца. Основной способ расчетов тАФ плановые платежи, сумму которых устанавливают на основании месячного плана перевозок и размеров платежей, полученных за предшествующий месяц, и перечисляют в виде аванса на счет дороги. В конце месяца авансовые и фактически начисленные суммы сверяются и по результатам сопоставления делается соответствующий перерасчет.
Перевозки грузов повагонными отправками могут оформляться с использованием транспортной железнодорожной электронной накладной (далее - электронная накладная) формы ГУ-27у-ВЦ.
Электронная накладная заполняется и передается с использованием технических и программных средств Автоматизированной информационной системы организации перевозок грузов по безбумажной технологии с использованием электронной накладной (далее - АИС ЭДВ) на железнодорожном транспорте. При этом АИС ЭДВ должна обеспечивать сохранность данных электронной накладной, соблюдение конфиденциальности и защиту от несанкционированного доступа к сведениям. Заполнение электронной накладной может производиться только с автоматизированных рабочих мест (далее - АРМ), зарегистрированных как абонентские пункты АИС ЭДВ. Подтверждением заключения договора перевозки в электронном виде является получение в АИС ЭДВ из АРМ грузоотправителя нулевого кода приема сообщения с электронной накладной и выдачи грузоотправителю квитанции о приеме груза.
Заполнение электронной накладной по реквизитам правомочного лица производится: грузоотправителем, станцией отправления, станциями в пути следования, станцией назначения.
Технология доставки грузаТехнология грузовой и коммерческой работы предусматривает выполнение операций: с грузами (прием к перевозке, взвешивание, хранение, погрузка, выгрузка, сортировка и выдача); с документами; с грузовыми поездами (коммерческий осмотр); по информации грузополучателей и грузоотправителей (о подходе, прибытии, подаче вагонов на погрузочно-выгрузочные фронты и об уборке); по обслуживанию подъездных путей предприятий и портов; по расчетам за перевозки грузов и транспортные услуги.
Технология выполнения грузовых и коммерческих операций разрабатывается в технологическом процессе работы грузовой станции. Технологический процесс работы грузовой станции тАФ это система организации, основанная на рациональном использовании технических средств станции, подъездных путей промышленных предприятий, на применении эффективных методов труда при безусловном соблюдении требований Устава железных дорог, Правил перевозок грузов.
Критериями оптимального технологического процесса являются: наилучшее использование перерабатывающей способности технических средств, своевременная обработка грузов и документов, ускорение оборота вагонов и контейнеров, сохранность грузов, максимальная производительность труда, высокая культура обслуживания предприятий, организаций и отдельных граждан, пользующихся услугами железнодорожного транспорта.
Производственно-технологический цикл грузовых и коммерческих операций выполняется на станции отправления груза, в пути его следования и на станции назначения.
Производственно-технологический цикл грузовых и коммерческих операций включает в себя: прием, погрузку, операции по отправлению грузов, в пути следования, по прибытии, выгрузку и выдачу грузов.
Организация приема, погрузки и отправления грузов. Грузовые и коммерческие операции, связанные с приемом груза к отправлению, выполняются на станции грузоотправителями, работниками товарной конторы и технологического центра по обработке перевозочных документов, а также работниками грузового двора и механизированной дистанции. Эти операции включают в себя: подготовку грузов и документов грузоотправителем, заключение договора перевозки груза, проверку и визирование накладной в товарной конторе, оформление перевозочных документов, подготовку подвижного состава, подачу вагонов под погрузку, прием груза к перевозке, определение массы груза железнодорожным транспортом, погрузку грузов на грузовом дворе, расчеты за перевозку груза .
Подготовка груза к перевозке. Груз к перевозке должен быть подготовлен таким образом, чтобы были обеспечены сохранность и безопасность его перевозки, рациональное использование подвижного состава, ускорение выполнения грузовых операций. В комплекс мероприятий, связанных с подготовкой грузов к перевозке, входят следующие: приведение продукции в качественное состояние, надлежащая упаковка с укрупнением грузовых мест в транспортные пакеты, маркировка грузов, взвешивание грузов грузоотправителем, осмотр грузов соответствующими контрольными и надзорными органами (хлебной или карантинной инспекцией, ветеринарно-санитарным надзором) .
Требования к отгружаемой продукции, а также к ее упаковке и маркировке устанавливаются стандартами на данную продукцию. Ряд требований на данную продукцию предусмотрен в Правилах и Технических условиях. Устав железных дорог обязывает соблюдать требования стандарта при упаковке груза отправителем, который несет ответственность за утрату или порчу груза, если она произошла из-за того, что тара не соответствовала свойствам груза или стандартам.
При упаковке применяют различного рода упаковочные и вспомогательные материалы, которые предохраняют груз, уложенный в транспортную тару, от попадания влаги и пыли, просыпания, а также обеспечивают плотную укладку, крепление и амортизацию с целью защиты его от повреждения. Упаковка, отвечающая требованиям стандартов, называется стандартной.
Подготовка вагонов к погрузке. Устав железных дорог обязывает подавать под погрузку вагоны и контейнеры исправные, годные для перевозки данного груза, очищенные от остатков груза и мусора. Каждый подаваемый под погрузку вагон на станциях осматривают в техническом и коммерческом отношениях.
Техническое обслуживание вагонов выполняют работники службы вагонного хозяйства в пунктах подготовки вагонов к перевозкам или в пунктах технического обслуживания (ПТО). Пункты подготовки вагонов к перевозкам размещаются, как правило, в местах массовой погрузки и выгрузки грузов.
Пункты технического обслуживания вагонов размещаются на сортировочных и участковых станциях.
Запрещается подача вагонов под погрузку без предъявления вагонов к техническому обслуживанию и записи в книге (форма ВУ-14) о признании их годными.
Коммерческий осмотр вагона должен гарантировать сохранность груза при перевозке. Исправность вагона в коммерческом отношении характеризуется: качеством очистки от ранее перевозимого груза, отсутствием внутри вагона в стенах или на полу торчащих гвоздей или болтов, плотным закрытием и надежностью закрепления боковых и потолочных загрузочных люков, а также разгрузочных люков, самоуплотняющихся дверей, исправностью болта дверей накладки, стоечных скоб платформ и увязочных косынок полувагонов, отсутствием в кузове крытого вагона заделок с наружной стороны и др.
В технологию подготовки вагонов под погрузку входят также предварительные операции тАФ очистка и промывка, а в необходимых случаях и дезинфекция или дезинсекция. Пригодность подвижного состава для перевозки данного груза в коммерческом отношении определяется: вагоновтАФ отправителем и дорогой в зависимости от того, чьими средствами производится погрузка; контейнеров, цистерн и бункерных полувагонов тАФ отправителем во всех случаях.
Общие условия погрузки. При погрузке следует соблюдать условия, обеспечивающие безопасность движения поездов и сохранность грузов при перевозке, а также рациональное использование грузоподъемности и вместимости вагонов.
Отправитель и дорога должны строго руководствоваться Техническими условиями погрузки и крепления грузов, правилами перевозок отдельных видов грузов, техническими нормами загрузки вагонов и установленными сроками погрузки и выгрузки.
Пломбирование вагонов и контейнеров. Пломба представляет собой охранный знак, подтверждающий то, что в процессе перевозки доступа к грузу не было. Исправные пломбы (при исправности вагона) свидетельствуют о том, что в вагон никто не входил и что груз в нем находится в том виде и количестве, в каком он был на станции, наложившей пломбы. Поэтому наложение пломб на вагоны тАФ одно из основных средств борьбы за сохранность груза при перевозке. Порядок пломбирования вагонов установлен Правилами перевозок. Без пломб, но с обязательным наложением проволочных закруток допускается перевозка в вагонах грузов, перечисленных в приложении к Правилам. Если вагоны грузятся средствами дороги, то пломбирование вагонов осуществляет дорога, при погрузке груза средствами грузоотправителя тАФ пломбы грузоотправителя. Контейнеры пломбируют пломбами отправителя, за исключением предъявляемых гражданами контейнеров с сельскохозяйственной продукцией и домашними вещами, которые пломбируют пломбами железной дороги в присутствии отправителя. При осуществлении транспортно-экспедиционного обслуживания граждан транспортно-экспедиционной организацией эти контейнеры пломбируют ее пломбами.
На пломбах, навешиваемых на вагон или контейнер, должны быть следующие знаки: при пломбировании тисками дороги тАФ полное или сокращенное наименование станции, номер тисков, сокращенное наименование дороги, контрольные знаки пломбы; тисками грузоотправителя тАФ полное или сокращенное наименование грузоотправителя, полное или сокращенное наименование станции, сокращенное наименование дороги, номер тисков.
Контрольные знаки состоят из трех цифр, соответствующих трем последним цифрам номера пломбируемого вагона или контейнера.
Для пломбирования вагонов и контейнеров используют свинцовые пломбы с камерой или с двумя параллельными отверстиями, полиэтиленовые пломбы с камерой, которые навешиваются на вагон (контейнер) с применением термически обработанной проволоки диаметром 0,6 тАФ 0,7 мм.
В последнее время для пломбирования крытых вагонов стали применяться пломбы-ярлыки и пломбы-запоры. По сравнению с другими пломбами они более надежны.
Пломбировочные тиски изготовляют только в железнодорожных мастерских. Порядок хранения и пользования пломбировочными тисками устанавливается на станциях тАФ начальником станции, у грузоотправителей тАФ руководителем предприятия. При этом на станции они хранятся под замком, выдаются под расписку приемосдатчика в книге пломбирования. В книгу пломбирования приемосдатчик заносит номера запломбированных вагонов и контрольные знаки.
Операции по отправлению грузов со станции. По окончании погрузки приемосдатчик составляет вагонный лист, информирует маневрового диспетчера (дежурного по станции) о готовности вагона к уборке.
Вагонные листы поступают в товарную контору, где к каждому из них подбирают накладные и дорожные ведомости. Все документы из товарной конторы передают в техническую.
Маневровый диспетчер дает указание составителю поездов вывести вагоны с пунктов погрузки на пути станции для включения их в формируемый состав. Время уборки вагонов отмечается в памятке приемосдатчика (ведомости подачи и уборки вагонов).
В технической конторе на сформированный поезд составляют натурный лист. К нему подбирают документы в порядке, соответствующем фактическому наличию и расположению вагонов в составе. Пакетирование и увязка документов с наклеенными контрольными бланками (форма ДУ-81) должны гарантировать сохранность документов в пути следования и исключать возможность их изъятия из пакета без его нарушения.
Операции в пути следования. В зависимости от назначения. и причин возникновения операции в пути следования подразделяются на два вида: обязательные и дополнительные.
К обязательным относятся: прием и сдача вагонов на технических станциях, осмотр поездов и вагонов в коммерческом отношении, оформление передачи вагонов с дороги на дорогу, сортировка мелких отправок и контейнеров, проверка положения негабаритных грузов при передаче их дорогами, перегрузка из вагонов одной колеи в вагоны другой, а также на другой вид транспорта, заадресовка маршрутов в пунктах распыления, охрана грузов и др.
К дополнительным операциям в пути следования относятся перегрузка из вагона в другой вследствие технических или коммерческих неисправностей, проверка и досылка груза, устранение коммерческих неисправностей, переадресовка и др. Необходимость этих операций возникает вследствие нарушения правил и условий перевозки.
Прием и сдача вагонов на станциях по пути следования груза. По прибытии поезда на станцию перехода поезда с дороги на дорогу машинист поездного локомотива сдает дежурному по станции пакет с документами. Дежурный по станции или оператор технической конторы убеждается в принадлежности документов данному поезду, записывает в книгу приема и сдачи перевозочных документов номер поезда, дату и время приема документов, фамилию машиниста. Работники технической конторы на всех дорожных ведомостях проставляют календарный штемпель станции на оборотной стороне дорожной ведомости в специально предусмотренных клетках и в строго последовательном порядке их номеров. По календарным штемпелям устанавливают фактический путь следования груза. В зависимости от него определяют объем перевозок грузов на дорогах в тонно-километрах и распределяют доходы между ними, устанавливают дорогу, виновную за просрочку в доставке груза, и т. д.
Передача груженых вагонов и перевозочных документов, а также учет перехода поездов в пунктах перехода с дороги на дорогу служат основанием для разграничения ответственности между дорогами за сохранность и своевременную доставку грузов, определения балансового наличия грузовых вагонов и контейнеров на дороге и сети в целом.
Технология работы пунктов коммерческого осмотра. Коммерческий осмотр поездов и вагонов в пути следования тАФ важный элемент работы дорог по обеспечению безопасности движения поездов и сохранности перевозимых грузов. Груженые вагоны проверяют в коммерческом отношении на станциях формирования составов, смены локомотивов и технического обслуживания транзитных поездов.
Коммерческой неисправностью считается такое состояние вагона или груза, которое может угрожать безопасности движения или сохранности груза: повреждение или отсутствие пломб, неясные оттиски на пломбах (если по ним нельзя установить наименование станции), признаки хищения или утраты груза, возможность доступа к нему из-за повреждения кузова вагона или котла цистерны, неправильно закрытые люки полувагонов, незакрытые борта платформ, открытые люки полувагонов, нарушения Технических условий погрузки и крепления грузов, расстройство погрузки на открытом подвижном составе, отсутствие или повреждение крепления груза.
Для выявления и устранения коммерческих неисправностей, угрожающих безопасности движения поездов и сохранности грузов, организуются пункты коммерческого осмотра (ПКО) поездов и вагонов.
Работа ПКО организована на основе Правил коммерческого осмотра поездов и вагонов и технологических процессов станций.
Коммерческий осмотр вагонов в прибывшем поезде происходит одновременно с техническим и начинается в момент прибытия на станцию.
Технологические графики производства коммерческого осмотра вагонов приведены в Типовом технологическом процессе работы грузовой станции.
Коммерческие неисправности устраняются рабочими, как правило, без отцепки вагонов от состава.
Обнаруженные при осмотре коммерческие неисправности, угрожающие безопасности движения и сохранности грузов, оформляют актами общей формы в трех экземплярах. Результаты осмотра каждого поезда в коммерческом отношении оформляются записью в книге регистрации коммерческих неисправностей (форма ГУ-98).
При обнаружении на станции вагонов и контейнеров с признаками хищения или возможности доступа к грузу (с поврежденным кузовом, сорванной пломбой) приемщики поездов накладывают контрольные пломбы без проверки груза и составляют акт общей формы с указанием в нем времени наложения пломбы. Такой вагон отцепляют от поезда и подают на специально отведенные пути (или в склад) для проверки количества и состояния груза.
Перегрузка и проверка грузов в пути. Если вагон, отцепленный из-за технических или коммерческих неисправностей, нельзя исправить в груженом состоянии, станция обязана перегрузить груз в другой вагон и проверить его количество и качество согласно документам. Обнаружив недостачу или порчу груза, составляют коммерческий акт, о чем делают отметки в накладной и дорожной ведомости. Копию коммерческого акта прилагают к накладной. Кроме того, при неисправности вагона составляют акт о техническом состоянии вагона (форма ГУ-106). В накладной и дорожной ведомости перечеркивают первоначальный номер вагона и над ним вписывают новый. Исправление заверяется подписью приемосдатчика груза и штемпелем станции. Вагонный лист составляют новый, а первоначальный прилагают к первому экземпляру коммерческого акта. Если последний не составляли, первоначальный вагонный лист остается на станции перегрузки и на нем указывают номер вагона, в который перегружен груз. Под перегрузку обычно подают вагоны, однотипные с перегружаемым, одинаковой с ним грузоподъемности и полезным объемом кузова.
Массу и состояние груза в пути следования проверяют также при отсутствии или неисправности пломбы на вагонах.
Результаты проверки груза в пути следования оформляют актом общей формы, один экземпляр которого прилагают к перевозочным документам, второй оставляют на станции, третий направляют в службу грузовой и коммерческой работы дороги, ответственной за неисправность.
Д о с ы л к а тАФ это часть груза, не отправленного в вагоне с основной партией, перевозимой по одному перевозочному документу, и досылаемая отдельно. На досылаемую часть составляют новый перевозочный документ, адресуемый начальнику станции назначения основной отправки. В досылочном перевозочном документе указывают, что груз тАФ это остаток от основной отправки (ее номер), а также станцию отправления и назначения, адрес и наименование получателя. К документам на основную отправку прикладывают копию коммерческого акта, который составляют при необходимости досылки.
При обнаружении на станции бездокументных грузов также составляют коммерческий акт и принимают меры для установления принадлежности, после чего их досылают по назначению.
Досылка на станцию назначения отдельных мест или части груза, оказавшегося без документов, производится по дорожной ведомости. Груз, оказавшийся полностью без документов, досылают по накладной и дорожной ведомости. В этом случае отправителем указывается начальник станции, осуществляющий досылку, а получателем тАФ начальник станции назначения.
Переадресовка грузов. Переадресовкой называется изменение станции первоначального назначения груза. Переадресовки значительно затрудняют работу дороги: возникают дополнительные пробеги вагонов, излишние операции. Поэтому переадресовку рассматривают как явление исключительное, требующее мотивировки. Повторную переадресовку и переадресовку груза в обратном направлении Устав не допускает.
Переадресовка оформляется по заявлению отправителя, получателя. В заявлении, копия которого обязательно адресуется первоначальному грузополучателю, указываются наименование груза, номер вагона, наименование отправителя и станции отправления, станция и дорога первоначального назначения и станция и дорога нового назначения, новый получатель, причины переадресовки, согласие на прием груза новым получателем. Для переадресовки необходимо предъявить квитанцию в приеме груза или копию письменного или телеграфного уведомления в адрес первоначального получателя о переадресовке груза.
Переадресовку может разрешить начальник службы грузовой и коммерческой работы дороги, в пределах отделения тАФ начальник отделения. Домашние вещи, перевозимые мелкими отправками и в контейнерах, могут быть переадресованы с разрешения начальника станции. На дальнейшую перевозку представитель организации, оформляющий переадресовку, составляет новый перевозочный документ, в котором станция, производящая переадресовку, делает об этом отметку с указанием номера первоначальной накладной. В исключительных случаях допускается переадресовка по старым перевозочным документам с обязательным уведомлением первоначальной станции назначения. В этом случае новые данные о станции указываются так, чтобы можно было прочитать старые, которые зачеркиваются. Кроме того, в графе накладной ВлОтметки железной дорогиВ» указывается о переадресовке. Такой способ переадресовки применяют в пунктах распыления маршрутов с нефтегрузами, а также на входных или распределительных станциях.
Информация о подходе поездов и грузов. Своевременная и правильная информация о подходе поездов к грузовой станции исключительно важна для организации маневровой и грузовой работы.
Каждая грузовая станция получает два вида информации о подходе поездов тАФ предварительную и точную.
Предварительная информация, которая передается из отделения дороги вместе с заданием на смену, содержит данные о количестве поездов и вагонов, следующих под выгрузку и погрузку в предстоящие 12 ч с каждого направления. Периодически через каждые 4 тАФ 6 часов из отделения дороги передается на станцию откорректированная информация, содержащая данные о каждом поезде: номер, время прибытия, общее число вагонов, следующих под выгрузку и погрузку.
Точная информация поступает в информационное бюро станции по телетайпу в виде телеграмм-натурных листов в трех экземплярах. Размеченный первый экземпляр телеграммы-натурного листа передают в техническую контору для натурной проверки поезда, второй тАФ маневровому диспетчеру.
Телеграмма-натурный лист составляется на основании натурного листа поезда и содержит в закодированном виде данные о поезде и о каждом вагоне.
Точная информация передается со станции формирования поезда.
Прием груженых вагонов и перевозочных документов. По прибытии поезда на грузовую станцию выполняются следующие операции:
прием работником технологического центра перевозочных документов от локомотивной бригады и проверка их, проверка соответствия состава натурному листу, технический и коммерческий осмотр вагонов, подготовка состава к расформированию и подаче к грузовым фронтам. Все эти операции выполняются параллельно.
Закончив натурную проверку перевозочных документов, оператор технологического центра вносит уточнения в телеграмму-натурный лист, ставит календарный штемпель (дату и время прибытия) на всех дорожных ведомостях и вагонных листах. В вагонном листе также указывается номер поезда. После этого документы записывают в книгу сдачи перевозочных документов (форма ГУ-48), по каждой отправке указывая номер вагона и номер накладной. Дорожные ведомости и накладные передаются в товарную контору, вагонные листы тАФ на грузовой двор или в пункты выгрузки на местах необщего пользования.
При техническом осмотре прибывшего на станцию назначения поезда выявляются вагоны с техническими неисправностями и определяется их пригодность под сдвоенные операциии.
Коммерческий осмотр вагонов выполняют приемщики поездов ПКО. При осмотре вагонов особое внимание обращается на исправность кузовов, наличие пломб, а также соответствие контрольных знаков на них знакам, указанным в вагонном листе. Все обнаруженные неисправности оформляются актом общей формы.
Регистрация прибывших грузов. В товарной конторе все прибывшие под выгрузку грузы регистрируют на основании данных перевозочных документов в книге прибытия грузов (форма ГУ-42). После,записи отправки в книгу прибытия на лицевой стороне дорожной ведомости проставляют порядковый номер, под которым отправка записана в книге прибытия.
По мере выдачи грузов в соответствующих графах книги прибытия отмечают ежедневно номер сопроводительной ведомости (форма ФДУ-91), число и месяц выдачи.
По окончании отчетных суток товарная контора проверяет наличие документов на невыданные грузы. Аналогично проверяют наличие документов при смене дежурств товарных кассиров. На 1 января каждого года заводят новые книги прибытия.
Уведомление получателей о прибытии грузов. Дорога обязана уведомить получателя о прибывшем в его адрес грузе в день его прибытия. В уведомлении указывают наименование и количество груза, а также род и число вагонов. Грузополучатель обязан обеспечить круглосуточное получение уведомлений. За предварительное уведомление о подходе грузов с грузополучателя взыскивают сборы, предусмотренные тарифом. В последнее время для информации грузополучателей используют информацию, имеющуюся в ИВЦ дороги назначения на каждый прибывающий на дорогу вагон. Грузополучатели, имеющие телетайпную связь с ИВЦ дороги, на основании договоров получают информацию в определенные периоды суток о всех прибывших в их адрес грузах.
Если вагоны выгружает грузополучатель своими средствами, то станция обязана уведомить о предстоящей подаче вагонов не позднее чем за два часа до подачи. Вагоны, поданные под выгрузку с нарушением сроков подачи или без уведомлений, принимаются получателем для выгрузки с момента фактической их подачи.
Вагоны под выгрузку на подъездные пути подают в соответствии с договором на подачу и уборку вагонов или на эксплуатацию этих путей.
Выгрузка грузов. Вагоны выгружаются средствами грузополучателей или средствами железной дороги, передаются у мест выгрузки и удостоверяются расписками передающей и принимающей стороны в памятке приемосдатчика.
На основании поступивших из технической или товарной конторы вагонных листов приемосдатчик намечает очередность разгрузки и порядок выполнения работы комплексной механизированной бригадой, записывает груз в книгу выгрузки (форма ГУ-44).
После коммерческого осмотра вагонов приемосдатчик грузов снимает пломбы и дает указания бригадиру комплексной механизированной бригады приступить к выгрузке. В процессе выгрузки приемосдатчик должен сличать данные вагонного листа с фактическим наличием груза, проверять при этом число мест груза, маркировку и исправность грузовых мест.
Выгруженный груз укладывают на специализированные участки склада с учетом наиболее полного использования площади, возможности подсчета числа мест, обеспечения техники личной безопасности работающих в складе и выполнения Правил пожарной безопасности. После окончания выгрузки приемосдатчик в вагонном листе проставляет дату и время начала и окончания выгрузки. На основании вагонных листов в товарной конторе делают отметки в накладных и дорожных ведомостях о месте нахождения груза на складе и накладывают календарный штемпель времени выгрузки. Вагоны по окончании выгрузки должны быть очищены средствами получателя или дороги в зависимости от того, кто их выгружал.
Хранение и выдача грузов. Грузы, выгружаемые на местах общего пользования, размещают и хранят в зависимости от их свойств в крытых складах или на открытых площадках. Необходимо соблюдать порядок и высоту укладки, обеспечивающие максимальную устойчивость штабелей, целость и сохранность груза, а также безопасность персонала. Высота штабеля для грузов в мешках, кулях, ящиках не более 6 м при применении механизмов или не более 3 м при укладке вручную. Между штабелями грузов на площади склада нужно оставлять проходы, ширина которых зависит от применяемых на складе средств механизации.
Грузы, перевозимые навалом и выгружаемые на открытых площадках, следует укладывать так, чтобы соблюдался габарит: при высоте 1200 мм грузы должны находиться не ближе 2 м от крайнего рельса, при большей высоте тАФ не ближе 2,5 м.
Устав требует от получателя своевременного приема и вывоза со станции груза, прибывшего в его адрес. Правилами перевозок грузов установлены для всех грузов предельные сроки хранения и вывоза с учетом обеспечения их сохранности. Прибывший на станцию груз хранится бесплатно в течение 24 ч. За хранение сверх установленного бесплатного срока взимается сбор в размере, установленном Тарифным руководством № 1. При возникновении затруднений на станции из-за несвоевременного вывоза грузов получателями начальник отделения дороги имеет право увеличить плату за хранение до пятикратного размера.
Перевозочный процесс заканчивается выдачей груза получателю. Оформление этой выдачи называется раскредитованием перевозочных документов. Для получения груза, адресованного предприятию, организации или учреждению, представитель его должен представить доверенность (разовую или постоянную), подписанную руководителем и главным бухгалтером и заверенную печатью.
При централизованных расчетах грузополучатель предъявляет справку госбанка и в подтверждение получения груза расписывается в дорожной ведомости, указывая ее номер (код), номер счета, наименование и местонахождение госбанка. В графе накладной ВлВзыскано при выдачеВ» ставится штемпель ВлЦентрализованный расчетВ», после чего накладную вручают получателю, который может вывозить груз, не ожидая окончательных расчетов за перевозку. Расчет платежей по каждой отправке, включение их в соответствующие перечни и взыскание выполняет технологический центр подготовки документов (ТехПД) на основании дорожных ведомостей, представленных товарной конторой станции по сопроводительной ведомости (форма ФДУ-91). Для межведомственных расчетов дорожные ведомости на прибывшие грузы и сопроводительные ведомости пересылают в ИВЦ своей дороги для определения провозной платы и последующих расчетов за перевозку.
При нецентрализованных расчетах товарная контора станции делает проверочную таксировку, определяет дополнительные платежи, по каким-либо причинам не взысканные станцией отправления, а также платежи за операции, выполненные станцией назначения, и взыскивает их по квитанции разных сборов. В подтверждение получения груза получатель расписывается в дорожной ведомости, заполняя при этом данные, требуемые формой бланка. На оборотной стороне накладной и дорожной ведомости проставляется календарный штемпель тАФ время оформления выдачи груза.
После раскредитования документов накладную выдают грузополучателю тАФ по ней он может получить груз с грузового двора.
Выдача грузов на местах необщего пользования заключается в передаче грузополучателю груженых крытых вагонов по пломбам и грузов на открытом подвижном составе по внешнему осмотру, за исключением случаев, когда на железную дорогу возложены обязанности по проверке массы и состояния груза.
Для выдачи и вывоза груза со станции получатель предъявляет приемосдатчику накладную. Убедившись в соответствии этих документов грузу, находящемуся на складе, а также в оплате сбора за хранение или записи данных для его взыскания в накопительную карточку ФДУ-92, приемосдатчик выдает ему груз. Выдав груз, приемосдатчик отмечает на оборотной стороне накладной в графе ВлВывоз грузаВ» число и месяц выдачи, число мест и массу груза. В книге выгрузки указывает номер автомобиля и дату выдачи.
Проверка состояния груза, его массы, числа мест на станции назначения. Уставом железных дорог определены основные положения о проверке массы, числа мест и состояния груза при выдаче его на станции назначения.
Участие дороги в проверке груза зависит от того, чьими средствами осуществлялась погрузка на станции отправления, и от наличия признаков сохранности груза при перевозке (исправности вагона, пломб и т. д.).
Приемосдатчик дороги обязан проверить массу, число мест и состояние груза, погруженного средствами отправителя, в случае прибытия его в неисправном вагоне или в вагоне с поврежденными пломбами, а также с признаками недостачи, порчи или повреждения при перевозке на открытом подвижном составе или в крытых вагонах без пломб, когда такая перевозка допускается Правилами. Тарные и штучные грузы в этих случаях выдаются с проверкой массы и состояния груза только в поврежденных местах.
В случае прибытия груза, погруженного средствами отправителя, с наличием признаков сохранности его при перевозке приемосдатчик дороги обязан полностью проверить массу только некоторых грузов (зерновых, хлебных, семян масличных и бобовых культур, комбикормов, отрубей, перевозимых насыпью, мяса и мясопродуктов, перевозимых без упаковки). Такие грузы, как картофель, овощи и бахчевые культуры, проверяют по требованию получателя без ограничения, навалочные и насыпные тАФ с ограничением в пределах 10% прибывшего с одним поездом груза, но не менее двух вагонов.
Тарные и штучные грузы, а. также грузы, масса которых определена расчетным путем, йо обмеру или условно, выдаются без проверки числа мест, массы и состояния груза. Массу муки, крупы, семян кукурузы, сахара, перевозимых в мешках со стандартной массой, не проверяют, а проверяют только число 'мест.
Иное положение при выдаче груза, погруженного средствами дороги. Такой груз выдается с обязательной проверкой массы, числа мест и состояния груза даже в случае прибытия его с признаками сохранности при перевозке. Это обусловлено тем, что утрата или повреждение груза может возникнуть в процессе погрузки, а также в период нахождения груза на складе станции до погрузки. По этим же причинам обязательно проверяют груз, выгруженный средствами дороги и выдаваемый с мест общего пользования.
Дорога обязана проверить скоропортящийся груз в случае прибытия его с нарушением сроков доставки или режима обслуживания вагонов с машинным охлаждением.
В пунктах назначения масса должна быть проверена на весах того же типа, которыми пользовались на станции отправления. Устав железных дорог устанавливает, что железная дорога освобождается от ответственности за недостачу груза, если она явилась следствием естественной убыли и не превышает установленных норм.
С учетом свойств груза, характера упаковки, условий приема к перевозке, транспортировки, расстояния, времени года и районов страны нормы естественной убыли предусматривают различную величину естественно допустимого уменьшения массы.
Норма естественной убыли исчисляется от массы брутто грузов, перевозимых в таре и упаковке, и от массы нетто без тары и упаковки.
Масса груза считается правильной, если разница в ее показаниях на станциях отправления и назначения не превышает нормы естественной убыли, нормы расхождения в показаниях весов или нормы точности взвешивания.
При перевозке в прямом смешанном железнодорожно-водном сообщении грузов, подверженных раструске и утечке, нормы естественной убыли увеличивают на каждую перевалку с вагона в судно и обратно на ЗОЩ. Такое же увеличение норм естественной убыли имеет место при перегрузке из вагона в вагон.
О выдаче груза станция назначения по требованию грузополучателя обязана сделать отметку в накладной о результатах проверки груза, а если груз выдавался без проверки количества и мест тАФ отметку о том, что груз прибыл без признаков утраты (например в исправном вагоне за исправными пломбами) и выдан без проверки.
Отметки ставятся (обычно штемпелями) на оборотной стороне накладной в графе ВлОтметки о выдаче грузаВ». Содержание отметок приведено в Правилах перевозок грузов (ч. 1, разд. 4), например для грузов, перевозимых в вагонах без пломб и на открытом подвижном составе: ВлГруз по настоящей накладной прибыл в исправном вагоне № без признаков утраты и выдан ВлВ» согласно ст. 65 Устава железных дорог без проверкиВ». Если при выдаче груза были установлены недостача или повреждение, делается отметка о составлении коммерческого акта. При обнаружении излишков массы и мест груза отметки проставляются станцией независимо от требования получателя. Во всех случаях отметки удостоверяются подписью начальника станции или его уполномоченного.
Получатель должен предъявить накладные для внесения таких отметок в течение трех суток с момента выдачи груза.
Передача груза другим организациям. Выполнить договор перевозки в некоторых случаях не представляется возможным, например: нет возможности доставить груз на станцию назначения или доставленный на станцию назначения груз не может быть выдан получателю. Невозможность доставки груза возникает, когда при дальнейшей перевозке может произойти порча или утрата груза; а ачи груза тАФ когда отправитель не дает указаний, как поступить с грузом, прибывшим в адрес получателя, которого нет в районе станции назначения. Кроме того, невозможность доставки или выдачи груза возникает при обнаружении бездокументных грузов. В таких случаях на железную дорогу возлагается обязанность передать груз другой организации, т. е. реализовать груз.
Передача осуществляется, как правило, на станциях обнаружения (прибытия) грузов или через специальные склады реализации, которые есть на каждой дороге, или их передают другой организации с разрешения службы грузовой и коммерческой работы по акту приемки-сдачи (форма ГУ-21) после комиссионной оценки. Комиссия состоит из представителей дороги, организации, получающей груз, местных органов министерства финансов и торговли. Об оценке груза составляется акт, подписываемый членами комиссии. Расчет по передаваемым грузам производится через отделения госбанка, в котором открыт расчетный счет организации, принявшей груз. Для этого станция или склад реализации железной дороги должны представить в отделение госбанка акт оценки и акт приемки-сдачи груза.
Перерабатывающая способность грузового пункта
Перерабатывающая способность грузового пункта рассчитывается по средствам механизации и по площади (емкости) склада.
Перерабатывающая способность рассчитывается отдельно для складов прибытия и отправления или общая, если на данном складе осуществляется выгрузка и погрузка грузов.
Перерабатывающая способность (ваг., конт./сут) по средствам механизации:
для различных грузов, кроме контейнеров,

для контейнерного пункта
для эстакад и повышенных путей

по площади (емкости) склада: для различных грузов, кроме контейнеров,
![]()

для контейнеров

где: Т тАФ продолжительность работы склада по погрузке-выгрузке вагонов и автомашин, ч;
тАФ количество подач вагонов на грузовой фронт за сутки;
тАФ продолжительность маневров при подаче, уборке, перестановке вагонов на грузовом фронте, ч;
тАФ общая площадь склада, ![]()
H тАФ средняя нагрузка на 1
площади склада,
,
тАФ коэффициент, учитывающий размеры площади, необходимой для проходов, проездов;
тАФ срок хранения, сут;
тАФ норма времени на грузовые операции для группы вагонов, поданных под выгрузку или погрузку, ч; bтАФ коэффициент, учитывающий размещение контейнеров на площадке в 2 тАФ 3 яруса;
тАФ площадь, занимаемая одним контейнером,
,
--коэффициент суточной неравномерности.
Норма времени на грузовые операции для группы вагонов, поданных под выгрузку или погрузку, определяется по формуле:
![]()
где
![]()
количество вагонов в подаче, с которыми
одновременно выполняются грузовые операции;
-- часовая производительность машины, т/ч.
Список литературы
- Коммерческая и грузовая работа на железнодорожном транспорте: Учебник В.М. Семенов, В.Н. Кустов, М.н, Тертеров, И.И. Романова. тАУ СПб 1995г.
- Правела перевозок грузов Ч. 1. М.:Транспорт 1985г.
3. Организация грузовой и коммерческой работы на ж.д. тр. Смехов
Вместе с этим смотрят:
Перевозка пассажиров железнодорожным транспортомПеревозка скоропортящихся грузов
Подбор двигателя и винта судна
Подбор топливо-смазочных материалов и технических жидкостей