Оценка качества телевизионного изображения
СОДЕРЖАНИЕ
ВВЕДЕНИЕтАжтАжтАжтАжтАжтАжтАжтАж.тАжтАжтАжтАжтАжтАжтАжтАжтАжтАжтАжтАжтАжтАжтАжтАжтАжтАж 3
1 ЧЁТКОСТЬ ТЕЛЕВИЗИОННОГО ИЗОБРАЖЕНИЯтАжтАжтАжтАжтАжтАжтАж.4
2 ЛИНЕЙНЫЕ И НЕЛИНЕЙНЫЕ ИСКАЖЕНИЯ В ТЕЛЕВИЗИОННОМ КАНАЛЕ И СПОСОБЫ ИХ ОЦЕНКИтАжтАжтАжтАжтАж 9
2.1 Геометрические (координатные) искажения.тАжтАжтАжтАжтАжтАжтАжтАжтАжтАж9
2.2 Полутоновые (градационные) искажениятАжтАжтАжтАжтАжтАжтАжтАжтАжтАжтАж.12
2.3 Искажение яркости средних и крупных деталейтАжтАжтАжтАжтАжтАжтАжтАж.14
2.5 Цветовые искажениятАжтАжтАжтАжтАжтАжтАжтАжтАжтАжтАжтАжтАжтАжтАжтАжтАжтАжтАжтАж15
2.6 Оценка качества изображения по телевизионным испытательным
таблицамтАжтАжтАжтАжтАжтАжтАжтАжтАжтАжтАжтАжтАжтАжтАжтАжтАжтАжтАжтАжтАжтАжтАжтАжтАжтАж.16
3 РАiЕТ ВЗВЕШЕННОГО И НЕВЗВЕШЕННОГО ОТНОШЕНИЯ СИГНАЛ/ШУМ В ТЕЛЕВИЗИОННОЙ СИСТЕМЕтАжтАжтАжтАжтАжтАжтАжтАж.19
4 ОПРЕДЕЛЕНИЕ ТИПА И ВРЕМЕННЫХ ПАРАМЕТРОВ ПОМЕХИ, СОЗДАЮЩЕЙ НА ЭКРАНЕ ТЕЛЕВИЗИОННОГО ПРИЕМНИКА СТАЦИОНАРНУЮ КАРТИНУтАжтАжтАжтАжтАжтАжтАжтАжтАжтАжтАжтАжтАжтАжтАжтАжтАж.23
ЗАКЛЮЧЕНИЕтАжтАжтАжтАжтАжтАжтАжтАжтАжтАжтАжтАжтАжтАжтАжтАжтАжтАжтАжтАжтАжтАжтАжтАж27
СПИСОК ЛИТЕРАТУРЫтАжтАжтАжтАжтАжтАжтАжтАжтАжтАжтАжтАжтАжтАжтАжтАжтАжтАжтАж.28
ВВЕДЕНИЕ.
Задачей ТВ систем является воспроизведение изображений, тожВндественных наблюдаемым объектам в пространстве. Эта цель может быть достигнута с помощью стереоцветной системы со значительно более высокими качественными показателями, чем реализуемые в настоящее время. Поэтому в первую очередь качество ТВ изображеВнния ограничивается основными параметрами системы вещательного телевидения, регламентированными ГОСТ 7845-92 (формат кадра, разрешающая способность тАФ число строк, число кадров, передаваВнемых в одну секунду, число мельканий, число полутонов и их распреВнделение в динамическом диапазоне изменения яркости репродукции, цветовой охват и др.). Эти параметры определяют номинальное качеВнство ТВ изображения, воспроизводимого данной системой.
Кроме этих ограничений, соответствие ТВ изображения оригиналу нарушается и из-за искажений изображения, возникающих практичеВнски во всех элементах ТВ системы.
В настоящее время объективная и субъективная оценки параметВнров звеньев ТВ системы и искажений изображения, а также условия его наблюдения и обработка результатов измерений регламентироваяы документами МККР и ГОСТ 7845-92, 26320-84 и др. Большинство норм на искажения изображения базируется на свойствах зрительной системы человека и экспериментальных статистических исследованиях по определению допустимых значений этих искажений. Параметры электрических сигналов и их искажений в разных точках тракта, как правило, оцениваются объективными методами с помощью специальВнных измерительных приборов, а результирующее качество ТВ изобраВнжений тАФ визуально, по изображению универсальных оптических или электронных телевизионных испытательных таблиц УЭИТ.
Рассмотрим основные виды искажений ТВ изображения и методиВнку их оценки.
2. ЧЕТКОСТЬ ТЕЛЕВИЗИОННОГО ИЗОБРАЖЕНИЯ.
Параметр телевизионного изображения, характеризующий качество воспроизведения и степень различимости на нем мелких деталей. Количественно выражается максимальным числом черных и белых линий, визуально различимых при воспроизведении нормализованного испытательного изображения шриховой миры, нанесенной на телевизионной испытательной таблице, например, в виде расходящихся веером клиньев. В соответствии со структурой телевизионного растра различают четкость изображения вдоль строк телевизионных (четкость по горизонтали) и поперек строк (четкость по вертикали). Современные стационарные телевизоры цветного изображения обеспечивают четкость (на черно-белом изображении) по горизонтали 400-450 линий, по вертикали 450-500 линий, переносные - соответственно 300-350 и 350-400 линий; у телевизоров черно-белого изображения четкость несколько выше (вследствие отсутствия цветоделительной маски в черно-белом кинескопе). Цветовая четкость характеризует качество воспроизведения цветов мелких деталей цветного телевизионного изображения. Оценивается с помощью цветной телевизионной испытательной таблицы по изображению групп параллельных (как правило, вертикальных) одинаковых по ширине штрихов чередующихся цветов, например, красных и голубых, зеленых и пурпурных, синих и желтых.
Четкость изображения оценивается относительным размером миВннимальной детали, воспроизводимой ТВ системой, а резкость тАФ отноВнсительным размером границы между фоном и деталью с равномерной яркостью; причем длительность сигнала от этой детали должна преВнвышать длительность переходных процессов в системе . РазВнмеры деталей и границ измеряются в относительных единицах тАФ по отношению к высоте изображения h, а четкость тАФ в условных единиВнцах тАФ строках или ТВ линиях. Например, если визуально на репроВндукции различаются детали размером не менее (l/500)h, то четкость изображения составит 500 ТВ линий. Параметры четкость и резкость изображения связаны между собой, так как характеризуют способВнность системы реагировать на быстрые изменения яркости оптическоВнго изображения.
В отличие от фото- и кинорепродукций четкость ТВ изображения оценивают раздельно по вертикали и горизонтали из-за того, что их величины обусловлены разными факторами.
Номинальная четкость изображения по вертикали определяется дискретной структурой растра тАФ числом строк разложения изображения z= 625. Так как конфигурация одного элемента изображения принимается в виде квадрата или окружности размером h/z, то вдоль строки изображения должно содержаться пропорциональное число элементов разложения: в соответствии с форматом кадра k = b/h = 4/3 оно определится как
kz =(4/3) 625 =800
Номинальная четкость изображения по горизонтали зависит в .основном от ширины спектра сигнала яркости, так как высокочастотВнные составляющие спектра несут информацию о мелких деталях изоВнбражения и качество их передачи определяет разрешающую способВнность ТВ системы.
Четкость ТВ изображения принципиально не может превышать номинальное значение из-за ограничений, накладываемых нормироВнванными параметрами системы, в частности числом строк z = 625 и шириной спектра ОФf=6,0 МГц сигнала яркости, определяющих восВнпроизведение минимальной детали в вертикальном и горизонтальном направлениях соответственно. Поэтому искажения четкости (резкоВнсти) всегда связаны с уменьшением ее номинального значения, ограВнничиваемого реальными параметрами данной ТВ системы, и в частВнности:
качеством фокусировки, наличием аберраций и формой апертурных (контрастно-частотных) характеристик электронно-оптических систем фотоэлектрических преобразователей; качеством чересстрочной развертки;
реальной шириной спектра ТВ сигнала, т.е. линейными искажениВнями в области высоких частот тракта передачи сигнала яркости.
Как известно, линейные искажения тракта и его участков описыВнваются с помощью разных, но полностью равноправных методов анализа с помощью частотных характеристик: y(w)- амплитудно-частотной (АЧХ), ф(w)- фазо-частотной (ФЧХ), а также с помощью h(t)- переходной характеристики ПХ как реакции системы на единичный скачок яркости (или сигнала изображения). "Язык" частотных характеристик более удобен для анализа конкретных причин, способов коррекции и определения результирующих искажений тракВнта по частным параметрам его участков. Недостаток этого метода трудность интерпретации (отождествления) влияния величин и харакВнтера линейных искажений на проявление их в изображении. Достоинство ПХ- четкая качественная связь искажений изображения с искажеВнниями формы ТВ сигнала. Поэтому эти методы удачно дополняют друг друга, что и определяет целесообразность их сопоставления.
На рис. 1.1 приведены типичные случаи искажений АЧХ в области высоких частот полосы пропускания тракта и качественно соответстВнвующие им формы ПХ в области малых времен, соизмеримых со временем передачи одного элемента изображения. Пусть форма криВнвых 1 этих характеристик соответствует номинальным, нормированВнным в соответствии с принятыми параметрами ТВ системы и допустиВнмыми искажениями изображения: спадом АЧХ на верхней граничной частоте fв(или сов) полосы пропускания уа{ и длительностью фронта ПХтф1, отсчитываемой от уровня 0,1 до уровня 0,9 ее установившегося значения.
Спад АЧХ уВ2 < ув, и соответствующее увеличение длительности фронта ПХ , приводит к уменьшению уровня высокочастотных составляющих сигнала, т.е. к уменьшению размахов сигнала от мелВнких деталей и увеличению длительности перепадов. Как следствие, четкость и резкость изображения уменьшаются, так как контраст самых мелких деталей становится ниже порогового, а протяженность границ деталей увеличивается.

Рисунок 1.1-Искажения АЧХ в области высоких частот полосы пропускания тракта переВндачи ТВ сигнала (а) и его ПХ в области малых времен (б)
Перекоррекция, т.е. подъем АЧХ уа3 > yBl и соответствующее уменьшение длительности фронта ПХ приводит к некоторому повышению четкости. При этом на горизонтальной части ПХ может возникнуть затухающий колебательный процесс. В соответствии с искажениями формы ПХ искажаются и детали изображения: после резкого изменения яркости по строке на репродукции могут возникВннуть повторы контуров деталей с постепенно убывающей интенсивноВнстью (ложные контуры). Если же колебательный процесс апериоди-чен, т.е. имеется только один первый выброс б, то границы детали как бы подчеркиваются. Эти искажения называются "пластика". В ряде случаев .небольшая пластика может быть даже полезна, так как за счет подчеркивания границ деталей улучшается распознаваемость объектов.
Следует еще раз отметить, что существенное повышение четкости можно получить только за счет увеличения числа строк разложения и расширения спектра ТВ сигнала больше 6 МГц (при соответствующем увеличении полосы пропускания канала связи), что практически реаВнлизуется только в специальных системах телевидения высокой четкоВнсти (ТВЧ) при z = 1000..3000 и fв = kz2n/2 = 15..150 МГц.
Для оценки четкости по горизонтали ТВ изображения используютВнся вертикальные штриховые миры с одним тАФ тремя штрихами одиВннаковой толщины d, а также многоштриховые миры с одинаковой или с плавно меняющейся по вертикали толщиной штрихов (и подобными же промежутками между ними, см. рис.2,6). В электронных ТИТ для этой цели используются пакеты синусоидальных колебаний с частоВнтами 2,8..5,8 МГц. Около этих мир, как правило, нанесены числа условных единиц измерения четкости, соответствующие примерно отВнносительной толщине штрихов A/d=200..500 ТВ линий. Для количеВнственной оценки четкости наблюдатель определяет область, где штрихи миры перестают различаться. Резкость воспроизведения верВнтикальных границ оценивается по осциллограмме длительности фронта сигнала от черно-белых прямоугольных элементов ТИТ.
Оценка четкости по вертикали с помощью горизонтальных штриВнховых мир затруднена муаром, возникающим из-за биений достаточно близких пространственных частот, которые образуются дискретными структурами ТВ растра и штрихов миры. Поэтому с помощью ТИТ оценивается только качество чересстрочной развертки по искажениВням наклонных линий (см. рис. 2.6)При слипании (сближении) строк четного и нечетного полей растра эти
линии воспроизводятся в виде ступенчатых кривых.
2. ЛИНЕЙНЫЕ И НЕЛИНЕЙНЫЕ ИСКОЖЕНИЯ В ТВ КАНАЛЕ И СПОСОБЫ ИХ ОЦЕНКИ.
2.1 ГЕОМЕТРИЧЕСКИЕ (КООРДИНАТНЫЕ) ИСКАЖЕНИЯ
Геометрические искажения ТВ изображения возникают из-за изВнменения координат передаваемых элементов. Эти искажения проявВнляются в виде нарушения геометрического подобия воспроизводимоВнго ТВ изображения его оригиналу. Геометрическое подобие нарушается в основном из-за неидентичности формы растра и относиВнтельных скоростей строчной или (и) кадровой разверток при анализе и синтезе изображения в фотоэлектрических преобразователях свет-сигнал и сигнал-свет.
Номинальный формат растра k=b/h=4/3 и относительные скороВнсти разверток v кстр(t) = const жестко заданы. Поэтому оценка величин геометрических искажений производится по отклонению от номиВннальных значений указанных параметров с помощью коэффициентов геометрических искажений.
На рис. 2.1 приведены наиболее характерные геометрические исВнкажения формы растра:
при дисторсиях бочкообразного или подушкообразного вида, возВнникающих в электронно-оптических системах фотоэлектрических преобразователей (рис.2.1 ,а,б);
при трапецеидальных искажениях, возникающих из-за нарушения ортогональности оптической или электрической оси к плоскости изоВнбражения (рис.2.1,в);
при искажениях типа "параллелограмм", возникающих из-за нарушения ортогональности отклоняющих полей строчной или кадровой развертки (рис.2.1,г);

Рисунок 2.1-Геометрические искажения изображения Влшахматное полеВ», возникающее из-за искажений формы растра.
при несоответствии формата кадра на передаче и приеме (b/h)=(bп/hп) из-за нарушения соотношения размеров растра по верВнтикали или по горизонтали, т.е. величин отклоняющих полей кадровой или строчной развертки (рис. 2.1д,е). Оценка величин искажений здесь нецелесообразна, так как искажения этого вида легко коррекВнтируются с помощью оперативных регулировок размеров изображеВнния по вертикали и горизонтали;
при воздействии на отклоняющие поля низкочастотных периодиВнческих помех (рис.2.1,ж).
Геометрические искажения возникают также из-за неидентичноВнсти относительных скоростей движения лучей передающей и приемВнной трубок по вертикали или (и) горизонтали. Практически это чаще всего происходит при нарушении на одной из сторон условия постоянВнства скоростей движения луча по вертикали или (и) горизонтали vKCTf(t) = var, т.е. из-за нелинейности токов кадровой или (и) строчной развертки. В этом случае геометрические искажения в вертикальном и горизонтальном направлениях соответственно изображены на (рис. 2.2, а,б)
Нелинейность развертки до 5 % в любом направлении практически незаметна для зрительного анализатора человека; при нелинейности 8.. 12 % изображение воспринимается как хорошее.

Рисунок 2.2-Геометрические искажения изображения, возникающие из-за нелинейности сигналов кадровой(а) и строчной(б) разверток приемника ( при линейных развертках на ТЦ).
Измерение величин геометрических искажений изображений проВнизводится по квадратным или прямоугольным испытательным элеВнментам, входящим в состав специализированных (например, "шахВнматное поле", см. рис.2,1) или универсальных испытательных таблиц. Визуальную оценку искажений и их коррекцию удобнее проводить по испытательным элементам в виде окружностей, так как искажения формы этих испытательных элементов более заметны: оценка произВнводится дифференциально по сравнительно большой площади таблиВнцы и нарушение любой части окружности в любом участке поля изоВнбражения четко отмечается зрительной системой.
2.2. ПОЛУТОНОВЫЕ (ГРАДАЦИОННЫЕ) ИСКАЖЕНИЯ.
Полутоновые искажения ТВ изображения возникают, из-за уменьшения динамического диапазона изменеВнния яркости оригинала тАФ контраста k0 изменения условий наблюдения изображения (паразитных засветок, размеров изображеВнния и его деталей и т.д.) и, как следствие, из-за увеличения величины порогового контраста (L/Lф)пор.
В результате число полутонов (число пороговых градаций яркоВнсти) Аю в ТВ изображении уменьшается по сравнению с числом полуВнтонов при непосредственном наблюдении объектов А0. В связи с этим ухудшается и опознавание объектов.
Для улучшения распознаваемости деталей при Аиз = const (km =const) приходится перераспределять число градаций по динамичеВнскому диапазону изменения яркости репродукции тАФ увеличивать число полутонов в сюжетно важном участке диапазона в области белого, т.е. для хорошо(и специально)освещенных деталей изображения (за счет ухудшения распознаваемости объектов тАФ уменьшения числа градаций в области черного). Подобная операция производится с поВнмощью гамма-корректора. Она сводится к тому, что форма характеристики передачи уровней яркости ТВ системы изменяется гамВнма-корректором так, чтобы она соответствовала параболической функВнции с показателем степени, равным yc= 1,2 ..1,3 .
Форма характеристики передачи уровней яркости системы опреВнделяется формой световых характеристик фотоэлектрических преобВнразователей свет-сигнал и сигнал-свет, а также формой амплитудной характеристики (АХ) тракта передачи сигнала яркости. Как правило, АХ тракта-передачи ТВ сигнала тАФ зависимость выходного напряжеВнния от входного fвых = f(Um) выполняется линейной. Поэтому нелиВннейные искажения сигнала яркости в тракте передачи сравнительно мало влияют на число воспроизводимых градаций.
Со световыми характеристиками преобразователей дело обстоит сложнее
помимо того, что форма этих характеристик многочисленВнных датчиков ТВ сигнала различна, большое значение имеет и разВнброс характеристик передающих и приемных трубок, так же как и выбор рациональных режимов их работы. Поэтому каждый датчик ТВ сигнала содержит гамма-корректор, форма АХ которого выбирается с учетом номинальной усредненной формы световой (модуляционной) характеристики кинескопов.
Все эти причины создают большие трудности по реализации оптиВнмальных условий воспроизведения полутонов, число которых сильно зависит и от конкретной индивидуальной настройки режима работы кинескопа (органы управления "Яркость" и "Контрастность" ТВ приВнемника).
Так как номинальное число градаций достигает нескольких десятков, то оперативно измерить число воспроизводимых градаций ТВ репродукВнции практически не представляется возможным. Поэтому для ориенВнтировочной оценки качества воспроизведения полутонов используют, как правило, 10-градационный клин тАФ горизонтальную шкалу уровВнней (перепадов) яркости от Lmin до Lmax> каждый элемент которого отличается по яркости от соседнего на несколько пороговых градаций (см. рис. 4.9). В оптических телевизионных испытательных таблицах (ТИТ) используют шкалы с логарифмическим, квадратичным или лиВннейным распределением яркости вдоль шкалы. В электронных ТИТ эта шкала создается с помощью 10-ступенчатого сигнала с
равномерВнными перепадами напряжения ("ступеньками") (рис.2.3,а).
Нелинейные искажения сигнала яркости, возникающие из-за неВнлинейной формы АХ тракта передачи, также оцениваются с помощью ступенчатого или пилообразного сигнала. Для удобства измерений в этот сигнал вводятся синусоидальные колебания с частотой 1,2 МГц и размахом порядка 10 % от размаха сигнала яркости (рис.2.3,6). На выходе тракта или его участка синусоидальная насадка выделяется полосовым фильтром (рис. 2.3,в).

Рис. 2.3. Испытательные сигналы для формирования шкалы перепадов яркости на экВнране ТВ приемника Ucl (а) и для измерения нелинейных искажений сигнала яркости Uc2 (б); Uс2вых тАФ синусоидальная насадка, выделенная полосовым фильтром из сигнаВнла Uc2 на выходе тракта (в).
Изменение числа воспроизводимых градаций по полю изображеВнния вызывает также неравномерность яркости фона, возникающую из-за специфических искажений в передающих трубках ("черное пятВнноВ») и нарушений работы схем фиксации уровня черного.
Наилучшее качество изображения получают установкой (методом последовательных приближений) оптимальных значений яркости и контрастности изображения на экране кинескопа так, чтобы добиться максимально возможного числа различимых глазом уровней яркости градационной шкалы (см. рис.2.6). При разрешении 8..9 градаций яркости шкалы качество ТВ изображения считается хорошим.
2.3. ИСКАЖЕНИЯ ЯРКОСТИ СРЕДНИХ И КРУПНЫХ ДЕТАЛЕЙ
Искажения яркости средних и крупных деталей ТВ изображения, так же как и мелких, возникают в большинстве случаев из-за линейВнных искажений в тракте передачи сигнала. Но в данном случае измеВннение яркости и цветности деталей является следствием искажении АЧХ в области низких частот полосы пропускания, т.е. ПХ в области средних и больших времен, сравнимых соответственно с длительностью.

Рис. 2.4 Искажения АЧХ в области низких частот полосы пропускания тракта (а) и ис кажение сигнала от "средней" белой детали на сером фоне (б)
2.4 ЦВЕТОВЫЕ ИСКАЖЕНИЯ
Цветовые ощущения также дискретны, как и восприятие яркости, и оцениваются числом порогов цветоразличимости. ИсВнкажения цветности изображения в ТВ системах возникают из-за:
использования реальных красного, зеленого и синего люминофоВнров цветных кинескопов, спектральные характеристики и насыщенВнность которых ограничивают воспроизведение максимального цветоВнвого охвата (диапазона воспроизводимых цветов, который может быть реализован в рамках трехкомпонентной ТВ системы);
использования реальных источников освещения, светоделитель-ных устройств и передающих трубок, спектральные характеристики которых не полностью обеспечивают верность цветопередачи;
линейных и нелинейных искажений ТВ сигнала, возникающих в фотоэлектрических преобразователях свет-сигнал и сигнал-свет, а также в тракте передачи и особенно в устройствах формирования и селекции сигналов яркости и цветности;
разброса параметров, старения, неоптимальных режимов работы элементов системы ив первую очередь цветных кинескопов;
рассовмещения и неидентичности растров цветоделенных изобраВнжений, перекрестных искажений и наличия временного сдвига между сигналами яркости и цветности из-за различных условий их передачи (в частности, разной полосы пропускания соответствующих каналов тракта), которые вызывают цветные окантовки, повторы (ложные контуры) и т.п., нарушения в репродукциях деталей изображения;
специфических особенностей передачи и селекции сигналов цветВнности в различных системах цветного телевидения (ЦТ).
С помощью специальных устройств тАФ цветокорректоров, коррекВнторов нелинейных искажений ТВ сигналов (гамма-корректоров) и др. тАФ на телецентрах производится компенсация цветовых искажений при условии
использования на приемной стороне цветного кинескопа со среднестатистическими нормированными характериВнстиками.
Цветовые искажения оцениваются по качеству воспроизведения специальных электрических испытательных сигналов, имитирующих опорные цвета. Например, широко используются сигналы, формируВнемые специальным генератором цветных вертикальных полос (ГЦП), с помощью которых на экране кинескопа воспроизводится восемь наиболее важных цветов: белый, желтый, голубой, пурпурный, красны|й, синий и черный (см. рис.2.5). Подобные две цветовые шкалы с разной насыщенностью использованы для визуальной оценки верноВнсти цветопередачи и в УЭИТ.
2.5 ОЦЕНКА КАЧЕСТВА ИЗОБРАЖЕНИЯ ПОТЕЛЕВИЗИОННЫМ ИСПЫТАТЕЛЬНЫМ ТАБЛИЦАМ
Оперативная оценка качества изображения по ТИТ широко пракВнтикуется в ТВ системах. С помощью специализированных ТИТ оцениВнвается обычно один-два качественных параметра (рис.2.5), а с поВнмощью универсальных тАФ все основные (рис.2.6). Преимущество универсальных ТИТ очевидно. Однако при их использовании либо уменьшается точность оценки качественных параметров за счет огВнрубления шкал, либо измерения проводятся лишь в отдельных лоВнкальных местах кадра из-за ограниченных возможностей размещения в поле таблицы большого числа различных испытательных элементов.

Рисунок 2.5- оптическая ТИТ для измерения геометрических (координатных) искожений.

Рисунок 2.6- Эскиз универсальной электронной испытательной таблицы УЭИТ.
Указанные ТИТ могут быть оптическими (см.рис.2.5) или электВнронными (см.рис.2.6). Преимуществом оптических таблиц является возможность оценки результирующего качества изображения при проверке всего тракта системы "от света до света", а также оценки величины искажений как в передающем, так и в приемном оборудоВнвании. К сожалению, оптическую таблицу для ЦТ, да еще в многочисВнленных идентичных экземплярах, создать весьма сложно из-за сравВннительно быстрого старения цветных испытательных элементов тАФ изменения их спектральных характеристик. Поэтому в ЦТ для оценки искажений, возникающих в видеоусилительном тракте телецентра, линиях связи и в приемниках, используются лишь электронные ТИТ. Универсальная электронная испытательная таблица (УЭИТ) составВнляется из эталонных электрических сигналов, формируемых специВнальным генератором. Искажения в передающем оборудовании оцениВнваются по монохромным ТИТ и специальными методами.
Универсальная электронная таблица предназначена для объекВнтивного и субъективного контроля основных параметров и их искажеВнний в тракте передачи черно-белого и цветного телевидения. НаВнзначение испытательных элементов таблицы, как правило, многофункционально. В то же время оценка тех или иных искажений производится по разным испытательным элементам или по одинакоВнвым, но расположенным в разных местах рабочего поля для диффеВнренциальной оценки этих нарушений.
3 РАiЕТ ВЗВЕШЕННОГО И НЕ ВЗВЕШЕННОГО
ОТНОШЕНИЯСИГНАЛ/ШУМ В ТЕЛЕВИЗИОННОЙ
СИСТЕМЕ
Согласно заданию на курсовой проект заданная нам помеха имеет следующую спектральную плотность мощности:
Gn(f)=G0⋅M(f),
где G0=1,5 мкВ2/Гц;
M(f)=1
На рисунке 3.1 представлен график распределение спектральной плотности мощности помехи в полосе частот от 0 Гц до 6 МГц.

Рисунок 3.1 тАУ Вид спектральной плотности мощности помехи Gn(f)
Мощность помехи в полосе частот 0 Гц тАУ 6 МГц определим по следующей формуле:
Подставляя в формулу все значения и взяв интеграл получаем, что Pневз=9 мВт.
Теперь определим не взвешенное отношение сигнал/шум по формуле:
Nневзв=20⋅lg(Uиз/σневзв),
где Uиз=0,7 В тАУ размах сигнала между уровнями белого и черного;
σневзв=√ Pневз тАУ среднеквадратичное отклонение.
Nневзв=20⋅lg(0,7/0,009)=37,8 дб
Как известно, прием оптической информации в телевидении осуществляется зрительной системой, которая имеет ограниченную разрешающую способность. Это несовершенство зрительной системы наряду с понижением чувствительности зрения к восприятию мелких элементов изображения оказывает фильтрующее действие в отношении высокочастотных составляющих флуктуационных помех. Низкочастотные помехи более заметны, чем высокочастотные той же мощности. Ослабление визуального восприятия высокочастотных составляющих помех, кроме того, происходит в связи со способностью зрительной системы сглаживать выбросы помех и пониженной контрастной чувствительностью зрения при наличии помех.
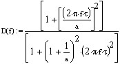
Для учета этой особенности зрения вводят понятие электрической модели разрешающей способности глаза, представляемой в виде фильтра, амплитудно-частотная характеристика которого аппроксимируется так называемой весовой функцией помех D(f) (см. рисунок 3.2). Этот фильтр называют взвешивающим. По рекомендации МККР в цветном ТВ используется фильтр, характеристика затухания которого имеет вид:
где τ=0,245 мкс;
а=4.5.

Рисунок 3.2 тАУ Вид весовой функции помех D(f)
Таким образом, визуально воспринимаемая мощность помехи Рвзв, характеризующая видность (заметность) помехи, может быть определена суммированием в приделах полосы частот видеоканала ВлвзвешенныхВ» составляющих спектра помехи:
Подставляя в формулу все значения и взяв интеграл получаем, что Pвзв=
Вт.
Теперь определим взвешенное отношение сигнал/шум по формуле:
Nвзв=20⋅lg(Uиз/σвзв) (3.6)
Nвзв=20⋅lg(0,7/0,0074)=25,7 дб
Выигрыш, который обеспечивает глаз человека определим как разность между взвешенным и не взвешенным отношением сигнал/шум:
дб
4 ОПРЕДЕЛЕНИЕ ТИПА И ВРЕМЕННЫХ ПАРАМЕТРОВ ПОМЕХИ, СОЗДАЮЩЕЙ НА ЭКРАНЕ ТЕЛЕВИЗИОННОГО ПРИЕМНИКА СТАЦИОНАРНУЮ КАРТИНУ
В данном разделе курсового проекта необходимо определить параметры и тип помехи, которая создаёт на экране телевизионного приёмника стационарную картину, указанную на рисунке 4.1. Изображение помехи на экране тАУ совокупность неподвижных ярких тонких прямых линий на темном фоне. Параметры разложения телевизионного стандарта - 625×50, к=1:1. Время обратного хода по строке (полю) примем равным нулю.

Прежде чем приступить к анализу помехи необходимо рассмотреть принцип формирования растра, так как это поможет нам в определении типа помехи и её параметров. Принцип формирования растра поясняется на рисунке 4.2. На этом рисунке сплошными стрелками показан прямой ход луча, а прерывистыми тАУ обратный ход луча.
Для упрощения анализа помехи представим её в виде двух составляющих. Первая составляющая этой помехи создает картину, показанную на рисунке 4.3а, а вторая составляющая помехи тАУ на рисунке 4.3б. Каждая составляющая помехи представляет собой периодическую последовательность ВлтонкихВ» прямоугольных импульсов. 
Определим параметры помехи. Для этого каждой составляющей помехи, представленной на рисунке 4.3, приведем временную диаграмму, на которой покажем расположение помехи в различных строках растра. Кроме этого определим их частоты и построим амплитудные спектры. Временная диаграмма для первой помехи показана на рис.4.4.

Рисунок 4.4 тАУ Временная диаграмма первой помехи
Из рисунка 4.4 видно, что
Z⋅Tстр=(Z-1)⋅Tпом , (4.1)
где Z тАУ число строк;
Tстр тАУ период строк ;
Tпом тАУ период помехи.
Если учесть что f стр =1/ Tстр, а f пом=1/ Tпом, и f =f /2 то выражение (4.1) преобразуем к следующему виду:
f пом =f стр fкад (4.2)
Амплитудный спектр первой помехи представлен на рисунке 4.5.
Рисунок 4.5 тАУ Амплитудный спектр первой помехи
Для второй помехи временная диаграмма представлена на рисунке 4.6

Из рисунка 4.6 видно, что
Z⋅Tстр=(Z+1)⋅Tпом , (4.3)
Преобразуем выражение (4.3) к следующему виду
f пом =f стр+fкад (4.4)
Амплитудный спектр второй помехи будет иметь следующий вид: 
Рисунок 4.7 тАУ Амплитудный спектр второй помехи
Следует отметить, что при кратности к=1:1 больше нет вариантов представления заданной помехи. Однако если изменить стандарт разложения
1:1 на стандарт разложения 2:1, то появятся и другие варианты комбинаций составляющих помехи, вызывающих на экране картину, представленную на рисунке 4.1.
ЗАКЛЮЧЕНИЕ
В ходе выполнения курсового проекта была достигнута поставленная цель тАУ научиться использовать теоретические положения, усвоенные в ходе изучения курса. Задачей курсового проекта являлся расчёт отношения сигнал/шум в телевизионной системе, определение основных параметров помехи, создающей на экране телевизионного приемника стационарную картину.
При разработке и расчете курсового проекта были использованы следующие программы и програмное обеспечение: MICROSOFT WORD, MATHCAD 11. Закреплены основные навыки работы с данными приложениями.
В результате расчета данного курсового проекта были получены следующие значения: взвешенное отношение сигнал/шум 25.7 дБ; невзвешенное отношение сигнал/шум 37.8 дБ; выигрыш который обеспечивает глаз человека 12.1 дБ (что является нормой для ЦТВ).
В заключение надо добавить, что курсовой проект выполнен в полном объёме в соответствии с содержанием.
СПИСОК ЛИТЕРАТУРЫ- Кривошеев М.И. Основы телевизионных измерений. М., ВлСвязьВ», 1976 г.
- Ткаченко А.П., Кириллов В.И. Техника телевизионных измерений.
Мн., ВлВышейшая школаВ», 1976 г.
- Кириллов В.И., Ткаченко А.П. Телевидение и передача изображений
Мн., ВлВышейшая школаВ», 1988 г.
4.Джаконии В. Е. Телевидение. М., ВлГорячая линия тАУ ТелекомВ», 2002 г.
Вместе с этим смотрят:
Передающие спиральные антенныПечатные излучатели
ПЛИС Xilinx семейства Virtex
Полосно-пропускающий фильтр