Примеры задач оптимизации, связанных с фундаментальными понятиями теории связи
Министерство образования и науки
Республики Казахстан
Казахско - Американский Университет
Факультет ВлПрикладных наукВ»
СРС
Тема: Примеры задач оптимизации, связанных с фундаментальными понятиями теории связи.
Студент:
Группа: ФПН (РРТ)-5с
Проверил:.
Дата:
Подпись:
Алматы, 2005
Примеры задач оптимизации, связанных с фундаментальными понятиями теории связи.
Приводимые ниже две задачи оптимизации типичны; такого вида проблемы часто возникают при разработке новых систем и устройств связи. Первая из них связана с вопросом о наиболее эффективном использовании заданного частотного диапазона
при наличии шума с неравномерным спектром; вторая -с выбором формы импульсного сигнала, обладающего миниВнмально возможной полосой частот и потому наиболее адекватВнного работе по полосно-ограниченному каналу связи. Обе эти задачи имеют самостоятельный интерес; вместе с тем они могут рассматриваться как достаточно простые упражнения по практическому применению вариационного исчисления.
Экстремальная задача, связанная с пропускной способностью
канала связи [24]
Максимальное количество информации, которое может быть передано за единицу времени по каналу связи с полосой частот f1<f<f2 при сколь угодно малой вероятности ошибки, определяется (согласно К. Шеннону) формулой
(3.17)
где s(f) и n(f) тАФ функции спектральной плотности мощности полезного сигнала и шума соответственно [24, 25].
Если спектральные плотности мощности сигнала и шума являются частотно-независимыми в полосе [f1, f2), то получаВнется еще более известное выражение

где
полная мощность сигнала;
(3.18)
тАФ полная мощность шума.
Поставим задачу об отыскании спектра плотности мощности полезного сигнала s{f), при котором (при фиксированной полной мощности сигнала РС = Р и заданной спектральной плотности мощности шума n(f) скорость передачи инВнформации была бы максимальной. Таким образом, максимум функционала
(3.19)
При дополнительном условии
(3.20)
Используя терминологию предыдущего раздела, можно говорить что поставленная задача является изопериметрической со свободными концами, причем подынтегральные выражения в (3.19) и (3.20) не содержат функции s'(f).
Составив в соответствии с методом множителей Лагранжа вспомогательный функционал типа
(3.21)
выпишем для него уравнение Эйлера

откуда
(3.22)
Подставляя (3.22) в (3.20) и учитывая обозначение (3.18),
находим значение ![]()


Окончательно оптимальная форма спектра плотности мощВнности сигнала определяется из выражения
(3.23)
Как видно, оптимальный спектр плотности мощности сигнала дополняет спектр плотности мощности шума до константы. Другими словами, энергию передатчика целесообразно распредеВнлять в рабочем диапазоне частот неравномерно, направляя ее в основном в те участки, где мощность шума мала.
Этот вывод представляет несомненный практический интеВнрес, однако он, может быть, сделан поспешно, ведь не доказано, что на экстремали (3.23) действительно достигается минимум. Впрочем, из замечания (3.4) о функционалах, не содержащих производной неизвестной функции (см. Вз 3.3), немедленно вытекает обоснование того факта, что на функции (3.22) в самом деле реализуется экстремум функционала (3.21), а вместе с ним и функционала (3.19) при условии (3.20). Этот экстремум может быть только максимумом, ибо, приВнближая s(f) в произвольно малом, но конечном подынтервале интервала (f1,f2) к функции n(f), взятой с обратным знаком (s(f)
-n(f)), можно сделать значение функционала (3.19) меньшим любого наперед заданного числа.
В связи с записью приближенного равенства (s(f)
-n(f)), целесообразно напомнить, что по физическому смыслу функции s(f) и n(f) неотрицательны. Решая поставленную задачу формально, мы нигде не вводили условия s(f)тЙе 0, поэтому формула (3.23) действительно дает решение поставленной задачи с учетом физических ограничений, если во всех точках интервала (f1,f2) выполняется неравенство
(3.24)
Однако неравенство (3.24) может оказаться нарушенным: это обстоятельство сигнализирует о том, что математическая задача максимизации пропускной способности канала R[s(f)] была поставлена некорректно и, чтобы исправить положение, следует к условию (3.20) присоединить условие
S(f)>0. (3.25)
На решениях задач подобного типа мы останавливаться не будем, хотя описанным в [3] методом односторонней вариации успешно решают и такие задачи.
Задача об отыскании импульса с минимальной эффективной
шириной спектра
Как правило, передача информации по каналам связи осуществляется в строго ограниченном частотном диапазоне: вне этого диапазона так называемые ВлвнеполосныеВ» излучения не должны превышать некоторую заданную существующими нормами величину. При передаче данных занимаемая полоса частот определяется во многом формой сигнала-переносчика, поэтому представляет существенный интерес отыскание формы сигналов конечной продолжительности, обладающих миниВнмально возможной полосой частот [15].
Сказанное, однако, нуждается в некотором разъяснении. Обозначим интересующий нас сигнал-переносчик длительности Т через y(t),0тЙдtтЙдT Тогда его спектр
(3.26)
Преобразование Фурье сигнала конечной продолжительВнности (3.26) определяет спектр Y(ПЙ), который является функцией комплексного
переменного ПЙ =
, аналитической на всей плоскости
(такие функции называются целыми).
Известно, что целые функции могут обращаться в 0 лишь в изолированных точках и никогда на множествах точек, у которых, как говорят математики, Влмера больше нуляВ». Примером таких множеств могут служить отрезок действиВнтельной или мнимой оси комплексной плоскости, круг или совокупность фигур на этой плоскости, действительная полуось

0 ![]()
рис.3.11
и т. д. Практически это означает, что спектры сигналов конечной продолжительности обладают бесконечной протяженВнностью и, следовательно, принципиально неустранимыми внеполосными излучениями. Спектр прямоугольного импульса y(t)=1,0тЙдtтЙдT, является в достаточной степени типичным (рис. 3.11). Другими словами, не существует частотного диапазона
, внутри которого поместился бы целиком спектр прямоуВнгольного (да и любого другого) импульса. Вместе с тем ясно, что внеполосные излучения в зависимости от формы импульса могут обладать большей или меньшей интенсивностью.
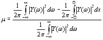
Существуют различные способы оценки внеполосных излучений. Пожалуй, наиболее распространенный из них тАФ энергетический, при котором интенсивность внеполосных излучений характеризуется величиной
(см. (3.3)). В случае низкочастотного рабочего диапазона частот критерий (
заВнпишем в виде
![]()
(3.27)
Задаче минимизации величины
посвящена значительная литература [26]. Отметим, что для минимизации отношения (3.27) переходят обычно к иной, эквивалентной, задаче. Полагая
(3.28)
решают вопрос о максимизации энергии импульса y(t) в раВнбочей полосе частот ![]()
(3.29)
Напомним, что в силу теоремы Рэлея Парсеваля спраВнведливо следующее равенство для энергии сигнала:
3.30
поэтому условие (3.28) эквивалентно следующему:
3.31
Вариационную задачу максимизации (3.29) при условии (3.31) сводят к решению так называемого интегрального уравнения [22] относительно неизвестной функции y{t). Изложение достигнутых здесь интересных и важных реВнзультатов требует, однако, использования достаточно сложного математического аппарата. В связи с этим используем другой подход к минимизации внеполосных излучений, для чего введем понятие об эффективной ширине спектра, аналогичное дисперсии распределения вероятностей. ПопыВнтаемся перенести характеристики законов распределения веВнроятностей случайных величин на спектры сигналов. ПредВнполагая, что выполняется условие (3.28), будем рассматривать неотрицательную функцию
,
как плотность распределения вероятностей p(
)некоторой случайной величины. Так как модуль спектра произвольного вещественного сигнала является четной функцией частоты (см. Вз 1.2, свойство 1), т. е.
![]()
то среднее значение этой случайной величины равно нулю:


а ее дисперсия
3.23
Положительную величину
назовем эффективной ширинойспектра сигнала y(t),0тЙдtтЙдT, и поставим вопрос о минимизации
, или, что эквивалентно, минимизации
. При этомв качестве дополнительного условия примем
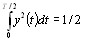
равенство (3.28), которое отражает известное свойство интегВнрала от плотности распределения вероятностей (он равен единице). В дальнейшем, однако, будет удобнее использовать эквивалентное (3.28) равенство (3.31).
Здесь уместно напомнить, что дисперсия характеризует степень сосредоточенности плотности p(
) вокруг ее среднего значения. Чем меньше дисперсия, тем более ВлузкимВ» является график функции p(
). В принципе эта функция в пределе при
переходит в 5-функцию (для сигналов y(t) конечной продолВнжительности последнее невозможно). Это обстоятельство и обоВнсновывает применение теоретико-вероятностного критерия тАФ дисперсии к оценке ширины полосы частот, занимаемой сигналом y(t).
Выражение (3.32) преобразуем таким образом, чтобы предВнставить его как функционал от y(t). Для этого проведем следующие вспомогательные рассуждения, относящиеся к форВнмуле обратного преобразования Фурье:
(3.33)
Продифференцируем обе части равенства (3.33) по t:
(3.34)
Применим теперь теорему РэлеятАФПарсеваля к сигналу yтАЩ(t),0тЙдtтЙдT,. С учетом (3.34) получим
(3.35)
Сравнив равенства (3.32) и (3.35), запишем

Для минимизации функционала (3.36) при ограничении (3.31) составим вспомогательный функционал
(3.37)
Сделаем упрощающее предположение (оно облегчит, как мы увидим, проверку достаточных условий минимизации): импульс y(t) обладает четной симметрией относительно середины отрезка [О, T] тАФ точки t=T/2. Тогда задачу минимизации
функционала (3.37) можно заменить задачей минимизации функционала
(3.38)
при условии
(3.39)
Правый конец отрезка [О, Т/2 ] будем считать свободным, т. е. предполагать, что у{Т/2) может принимать любые знаВнчения. Что касается левого края интервала тАФ точки t = 0 (равно как и симметричной относительно центра точки t=T), то здесь определенно можно сказать, что y(0)=0, (3.40) хотя в самой постановке задачи нет никаких указаний отноВнсительно поведения y(t) на концах. Однако одно важное обстоятельство с необходимостью приводит к условию (3.40). Дело в том, что для сходимости интеграла

а значит, и существования конечной величины
(см. (3.32)) требуется, чтобы функция
убывала достаточно быстро при
. Напомним известный результат: если сигнал y(t),
, имеет разрывы, его спектр убывает на бесконечности как
; если этот сигнал непрерывен, его спектр убывает на бесконечности как
; если сигнал непрерывен и имеет непрерывную первую производную, то характер убывания спектра при
определяется функцией
, и т. д. [22]. В нашем случае для сходимости интеграла (3.31) достаточно потребовать, чтобы квадрат модуля спектра
убывал как 1/|
|4 при
(или
убывал как 1/|
|
). Это означает, что импульс
должен быть непрерывным.
Но из непрерывности функции следует равенство пределов слева и справа в любой точке ее области определения. Например, на левом краю области определения для непрерывного сигнала y(t) справедливо равенство
y(t-0) = y(t + 0), t = 0.
Так как вне отрезка
функция y(t) считается равной 0, справедливость условия (3.40) очевидна. Что касается свободного конца t=T/2, то в силу теоремы 3.3 о подвижных концах (см. Вз 3.2) применительно к функционалу (3.38) можем записать соответствующее ограничение
![]()
,
или
(3.42)
Уравнение Эйлера для функционала (3.38) фактически уже рассматривалось нами в близкой задаче примера 3.1, оно имеет вид
yтАЭ+О»y=0, а его решение, содержащее две произвольные постоянные,-
.
Воспользовавшись (3.40), запишем
.
Таким образом,
Для определения
воспольВнзуемся условием (3.42) (с учетом того, что с1 = 0):
,
откуда
,тАж (3.43) Следовательно,
, (3.44)
где с2 и целое число k пока не определены. Отыскание амплитуды с2 не представляет труда и может быть легко осуществлено с помощью подстановки (3.44) в условие нормиВнровки энергии импульса y{t) (3.39).
Несколько сложнее найти число k. Чтобы выделить из семейства экстремалей (3.44) кривую, которая действительно соответствует минимуму функционала (3.38), обратимся к доВнстаточным условиям сильного минимума, приведенным в Вз 3.3. Условие ВлаВ» выполнено, ибо все кривые семейства (3.44) тАФ экстремали. Для проверки условия ВлбВ» составим дифференВнциальное уравнение Якоби (3.16), которое в данном случае принимает вид
,
т. е. совпадает по форме с уравнением Эйлера рассматриваемой задачи. Его общее решение
, а решение, обращающееся в 0 на левом конце,
. (3.45)


Для выполнения условия тАЭбтАЭ необходимо, чтобы функция
не обращалась в ноль ни в одной точке отрезка (0,Т/2), кроме точки t=0. легко проверить, что среди всех значений
удовлетворяющих (3,43), только случаи k=0 и k= -1
удовлетворяют этому условию. Более ВлвысокочастотныеВ»
(k=1, В±2, В±3, ..) синусоиды (3.45)
обладают дополнительными нулями на
отрезке (0, T/2). Подставив k=0 в (3.44), получим единственнуюкривую, на которой может быть реализован минимум (3.38),
(3.46)
тАФ полуволну синуса1. Чтобы доказать, что (3.46) действительно является решением нашей задачи, покажем, что выполняется и последний (третий) пункт ВлвВ» достаточных условий. ДейстВнвительно,
![]()
Определение константы с2, как уже говорилось, не вызывает затруднений, она равна
. График импульса с минимальВнной эффективной шириной спектра показан на рис. 3.12.
В заключение разъясним, в чем трудность исследования функционала (3.37), в котором y(t) рассматривается на всем отрезке [0, Т ]. Разумеется, уравнения Эйлера и Якоби, а также их решения имели бы тот же самый вид, который описан выше. Но добиться успеха с помощью пункта ВлбВ» достаточных условий, которыми мы воспользовались, по-видимому, оказаВнлось бы невозможным. Действительно, условие Якоби не выполняется, так как решение уравнения Якоби (3.45) в точке t=T равно 0 в случае k = 0: ио = 0 при k = 0. Значит, не существует ни одного целого числа k, при котором пункт ВлбВ» был бы выполнен. И хотя при этом не нарушается необходимое условие Якоби (см. замечание 3.3 в конце Вз 3.3), вопрос о том, реализуется ли минимум функционала (3.37) на какой-либо из кривых (3.44), остается открытым.
Замечание 3.5. Задача минимизации полосы частот, занимаемой импульсным сигналом при использовании энергеВнтического критерия (I (формула (3.27)), также приводит к имВнпульсу округлой формы, напоминающему сигнал рис. 3.12. Однако в этом случае форма оптимальной функции y(t) оказывается зависящей не только от длительности Г, но и от ширины интервала концентрации энергии (0,
), точнее, произВнведения
T [26].
Вместе с этим смотрят:
Проектирование активных RC-фильтровПроектирование АЛУ для сложения двоично-десятичных чисел
Проектирование командно-измерительной радиолинии системы управления летательным аппаратом
Проектирование участка по изготовлению широкодиапазонного генератора импульсов