Уравнение Кортевега - де Фриса, солитон, уединенная волна
Содержание
1. Введение |
3 |
1.1. Волны в природе |
3 |
1.2. Открытие уединенной волны |
4 |
1.3. Линейные и нелинейные волны |
5 |
2. Уравнение Кортевега - де Фриса |
8 |
2.1. Солитоны Кортевега - де Фриса |
10 |
2.2. Групповой солитон |
13 |
3. Постановка задачи |
15 |
3.1. Описание модели |
15 |
3.2. Постановка дифференциальной задачи. |
15 |
4. Свойства уравнения Кортевега - де Фриза |
16 |
4.1. Краткий обзор результатов по уравнению КдФ |
16 |
4.2. Законы сохранения для уравнения КдФ |
17 |
5. Разностные схемы для решения уравнения КдФ |
19 |
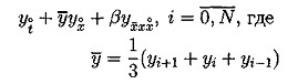
5.1. Обозначения и постановка разностной задачи. |
19 |
5.2. Явные разностные схемы (обзор) |
21 |
5.3 Неявные разностные схемы (обзор). |
23 |
6.Численное решение |
25 |
7. Заключение |
26 |
8. Литература |
27 |
1. Введение
Из школьного курса физики [1] хорошо известВнно, что если в какой-либо точке упругой среды (твердой, жидкой или газообразной) возбудить коВнлебания, то они будут передаваться в другие места. Эта передача возбуждений обусловлена тем, что близкие участки среды связаны друг с другом. При этом колебания, возбужденные в одном месте, расВнпространяются в пространстве с определенной скоВнростью. Волной принято называть процесс передачи возбуждений среды (в частности, колебательного процесса) от одной точки к другой.
Природа механизма распространения волны может быть различной. В простейшем случае связи между участками в среде могут быть обусловлены силами упругости, которые возникают из-за дефорВнмаций в среде. При этом в твердой упругой среде могут распространяться как продольные волны, при которых смещения частиц среды осуществляВнются в направлении распространения волны, так и поперечные волны, у которых смещения частиц перпендикулярны распространению волны. В жидВнкости или газе в отличие от твердых тел нет сил соВнпротивления сдвигу, поэтому могут распространятьВнся только продольные волны. Хорошо известный пример продольных волн в природе тАФ звуковые волВнны, которые возникают из-за упругости воздуха.
Среди волн иной природы особое место занимаВнют электромагнитные волны, передача возбуждеВнний у которых происходит из-за колебаний электВнрического и магнитного полей. Среда, в которой распространяются электромагнитные волны, как правило, оказывает существенное влияние на проВнцесс распространения волн, однако электромагнитВнные волны в отличие от упругих могут распростраВнняться даже в пустоте. Связь между различными участками в пространстве при распространении таВнких волн обусловлена тем, что изменение электриВнческого поля вызывает появление магнитного поля и наоборот.
С явлениями распространения электромагнитВнных волн мы часто сталкиваемся в нашей повседневВнной жизни. К этим явлениям относятся радиоволны, применение которых в технических приложениях общеизвестно. В этой связи можно упомянуть рабоВнту радио и телевидения, которая основана на приеВнме радиоволн. К электромагнитным явлениям, только в другом частотном диапазоне, относится также свет, с помощью которого мы видим окружаВнющие нас предметы.
Очень важным и интересным типом волн явВнляются волны на поверхности воды. Это один из распространенных видов волн, который каждый наблюдал еще в детстве и который обычно демонВнстрируется в рамках школьного курса физики. ОдВннако, по выражению Ричарда Фейнмана [2], "более неудачного примера для демонстрации волн придуВнмать трудно, ибо эти волны нисколько не похожи ни на звук, ни на свет; здесь собрались все трудносВнти, которые могут быть в волнах".
Если рассмотреть достаточно глубокий бассейн, наполненный водой, и на его поверхности создать некоторое возмущение, то по поверхности воды начнут распространяться волны. Возникновение их объясняется тем, что частицы жидкости, которые находятся вблизи впадины, при создании возмущеВнния будут стремиться заполнить впадину, находясь под действием силы тяжести. Развитие этого явлеВнния со временем и приведет к распространению волны на воде. Частицы жидкости в такой волне двигаются не вверх-вниз, а приблизительно по окВнружностям, поэтому волны на воде не являются ни продольными, ни поперечными. Они как бы смесь тех и других. С глубиной радиусы окружностей, по которым двигаются частицы жидкости, уменьшаВнются до тех пор, пока они не станут равными нулю.
Если анализировать скорость распространения волны на воде, то оказывается, что она зависит от ее длины. Скорость длинных волн пропорциональна корню квадратному из ускорения свободного падеВнния, умноженному на длину волны. Причиной возВнникновения таких волн является сила тяжести.
Для коротких волн восстанавливающая сила обусловлена силой поверхностного натяжения, и потому скорость таких волн пропорциональна корВнню квадратному из частного, в числителе которого стоит коэффициент поверхностного натяжения, а в знаменателе тАФ произведение длины волны на плотВнность воды. Для волн средней длины волны скоВнрость их распространения зависит от перечисленВнных выше параметров задачи [2]. Из сказанного ясно, что волны на воде и в самом деле довольно сложное явление.
1.2. Открытие уединенной волныВолны на воде издавна привлекали к себе вниВнмание исследователей. Это связано с тем, что они представляют собой широко известное явление в природе и, кроме того, сопровождают перемещение судов по воде.
Любопытную волну на воде наблюдал шотландВнский ученый Джон Скотт Рассел в 1834 году. Он заВннимался исследованием перемещения по каналу баржи, которую тянула пара лошадей. Неожиданно баржа остановилась, но масса воды, которую баржа привела в движение, не остановилась, а собралась у носа судна, а затем оторвалась от него. Далее эта масса воды покатилась по каналу с большой скороВнстью в виде уединенного возвышения, не меняя своей формы и не снижая скорости.
На протяжении всей жизни Рассел неоднократВнно возвращался к наблюдению за этой волной, поВнскольку верил, что открытая им уединенная волна играет важную роль во многих явлениях в природе. Он установил некоторые свойства этой волны. Во-первых, заметил, что она движется с постоянной скоростью и без изменения формы [3]. Во-вторых, нашел зависимость скорости С этой волны от глуВнбины канала h и высоты волны а:
![]()
где g тАФ ускорение свободного падения, причем a < h. В-третьих, Рассел обнаружил, что возможен распад одной большой волны на несколько волн. В-четверВнтых, он отметил, что в экспериментах наблюдаются только волны возвышения. Однажды он также обраВнтил внимание, что открытые им уединенные волны проходят друг через друга без каких-либо изменеВнний, как и малые волны, образованные на поверхноВнсти воды. Однако на последнее очень важное свойВнство он не обратил существенного внимания.
Работа Рассела, опубликованная в 1844 году как "Доклад о волнах", вызвала осторожную реакцию в среде ученых. На континенте ее не заметили совВнсем, а в самой Англии на нее обратили внимание Г.Р. Эйри и Дж.Г. Стоке. Эйри подверг критике реВнзультаты экспериментов, которые наблюдал Рассел. Он отмечал, что из теории длинных волн на мелкой воде выводы Рассела не получаются, и утверждал, что длинные волны не могут сохранять неизменную форму. И в конечном итоге подверг сомнению праВнвильность наблюдений Рассела. Один из основатеВнлей современной гидродинамики, Джордж Габриэль Стоке, также не согласился с результатами наблюдеВнний, полученными Расселом, и критически отнесся к факту существования уединенной волны.
После столь негативного отношения к открыВнтию уединенной волны долгое время о ней просто не вспоминали. Определенную ясность в наблюдеВнния Рассела внесли Дж. Буссинеск (1872 год) и Дж.У. Рэлей (1876 год), которые независимо друг от друга нашли аналитическую формулу для возвышеВнния свободной поверхности на воде в виде квадрата гиперболического секанса и вычислили скорость распространения уединенной волны на воде.
Позже опыты Рассела были повторены другими исследователями и получили подтверждение.
1.3. Линейные и нелинейные волныВ качестве математических моделей при описаВннии распространения волн в различных средах часВнто используют уравнения в частных производных. Это такие уравнения, которые содержат в качестве неизвестных производные от характеристик рассматриваемого явления. Причем поскольку хаВнрактеристика (например, плотность воздуха при распространении звука) зависит от расстояния до источника и от времени, то и в уравнении используВнются не одна, а две (а иногда и больше) производВнные. Простое волновое уравнение имеет вид
utt=c2uxx (1.1)
Характеристика волны и в этом уравнении зависит от пространственной координаты х и времени t, а индексы у переменной и обозначают вторую произВнводную от и по времени (utt) и вторую производную от и по переменной x(uxx). Уравнение (1) описывает плоскую одномерную волну, аналогом которой моВнжет служить волна в струне. В этом уравнении в каВнчестве и можно принять плотность воздуха, если речь идет, например, о звуковой волне в воздухе. ЕсВнли рассматривают электромагнитные волны, то под и следует понимать напряженность электрического или магнитного поля.
Решение волнового уравнения (1), которое впервые было получено Ж. Д'Аламбером в 1748 гоВнду, имеет вид
u(x,t)=f(x-ct)+g(x+ct) (1.2)
Здесь функции f и g находят из начальных условий для и. Уравнение (1.1) содержит вторую производную от и по t, поэтому для него следует задавать два наВнчальных условия: значение и при t = 0 и производВнную и, при t = 0.
Волновое уравнение (1.1) имеет очень важное свойство, суть которого заключена в следующем. Оказалось, что если взять два любых решения этого уравнения, то их сумма снова будет решением этого же уравнения. Это свойство отражает принцип суВнперпозиции решений уравнения (1.1) и соответствует линейности явления, которое оно описывает. Для нелинейных моделей это свойство не выполняется, что приводит к существенным отличиям протекания процессов в соответствующих моделях. В частности, из выражения для скорости уединенной волны, коВнторую наблюдал Рассел, следует, что ее значение заВнвисит от амплитуды, а для волны, описываемой уравнением (1.1), такой зависимости нет.
Непосредственной подстановкой в уравнение (1.1) можно убедиться, что зависимость
u(x,t)=a cos(kx-ωt) (1.3)
в которой а, k и ω тАФ постоянные, при ω =В±k является решением уравнения (1). В этом решении а тАФ амплитуда, k тАФ волновое число, а ω тАФ частота. ПриВнведенное решение представляет собой монохромаВнтическую волну, переносимую в среде с фазовой скоростью
cp=
(1.4)
На практике монохроматическую волну создать трудно, и обычно имеют дело с цугом (пакетом) волн, в котором каждая волна распространяется со своей скоростью, а скорость распространения пакеВнта характеризуется групповой скоростью
Cg=
, (1.5)
определяемой через производную от частоты ω по волновому числу k.
Определить, с какой (линейной или нелинейВнной) моделью имеет дело исследователь, не всегда легко, но когда математическая модель сформулиВнрована, то решение этого вопроса упрощается и выВнполнение принципа суперпозиции решений можно проверить.
Возвращаясь к волнам на воде, заметим, что их можно анализировать используя хорошо известные уравнения гидродинамики, о которых известно, что они нелинейны. Поэтому и волны на воде в общем случае являются нелинейными. Только в предельВнном случае малых амплитуд эти волны могут счиВнтаться линейными.
Отметим, что и распространение звука не во всех случаях описывается линейным уравнением. Еще Рассел при обосновании своих наблюдений по уеВндиненной волне отметил, что звук от выстрела пушВнки распространяется в воздухе быстрее, чем команВнда произвести этот выстрел. Это объясняется тем, что распространение мощного звука описывается уже не волновым уравнением, а уравнениями газоВнвой динамики.
- Уравнение Кортевега - де Фриса
Окончательная ясность в проблеме, которая возВнникла после опытов Рассела по уединенной волне, наступила после работы датских ученых Д .Д. Кортевега и Г. де Фриса, которые попытались разобраться в существе наблюдений Рассела. Обобщив метод Рэлея, эти ученые в 1895 году вывели уравнение для описания длинных волн на воде. Кортевег и де Фрис, используя уравнения гидродинамики, расВнсмотрели отклонение и(х,t) от положения равновеВнсия поверхности воды при отсутствии вихрей и при постоянстве плотности воды. Сделанные ими наВнчальные приближения были естественны. Они такВнже предположили, что при распространении волны выполняются два условия для безразмерных параВнметров
ε=
<<1, δ=
(2.1)
Здесь а тАФ амплитуда волны, h тАФ глубина бассейна, в котором рассматриваются волны, l тАФ длина волны (рис. 1).
Суть приближений состояла в том, что амплитуВнда рассматриваемых волн была много меньше, чем

Рис. 1. Уединенная волна, распространяющаяся по каналу, и ее параметры
глубина бассейна, но в то же время длина волны быВнла много больше, чем глубина бассейна. Таким образом, Кортевег и де Фрис рассматривали длинВнные волны.
Уравнение, которое было ими получено, имеет вид
ut + 6uux + uxxx = 0. (2.2)
Здесь u(x,t) - отклонение от положения равновесия поверхности воды (форма волны) - зависит от коВнординаты x и времени t. Индексы у характеристики u означают соответствующие производные по t и по x. Это уравнение, как и (1), является уравнением в чаВнстных производных. Изучаемая характеристика у него (в данном случае u) зависит от пространственВнной координаты x и времени t.
Решить уравнение такого типа - значит найти зависимость u от x и t, после подстановки которой в уравнение мы придем к тождеству.
Уравнение (2.2) имеет волновое решение, известВнное с конца прошлого века. Оно выражается через специальную эллиптическую функцию, изученную Карлом Якоби, которая носит теперь его имя.
При некоторых условиях эллиптическая функВнция Якоби переходит в гиперболический секанс и решение имеет вид
u(x,t)=2k2ch-2{k(x-4k2t)+φ0}, (2.3)
где φ0тАФ произвольная постоянная.
Решение (8) уравнения (7) является предельным случаем бесконечно большого периода волны. Именно этот предельный случай является уединенВнной волной, соответствующей наблюдению Рассела в 1834 году.
Решение (8) уравнения КортевегатАФ де Фриса явВнляется бегущей волной. Это означает, что оно завиВнсит от координаты x и времени t через переменную ξ=x-c0t. Эта переменная характеризует положение точки координат, движущейся со скоростью волны с0, то есть она обозначает положение наблюдателя, который постоянно находится на гребне волны. ТаВнким образом, уравнение КортевегатАФ де Фриса в отВнличие от решения Д'Аламбера (1.2) волнового решеВнния (1.1) имеет волну, распространяющуюся лишь в одном направлении. Однако оно учитывает проявВнление более сложных эффектов вследствие дополнительных слагаемых uux и uxxx.
В действительности это уравнение является такВнже приближенным, поскольку при его выводе исВнпользованы малые параметры (2.1) ε иδ. Если пренеВнбречь влиянием этих параметров, устремляя их к нулю, мы получим одну из частей решения Д'АламВнбера.
Конечно, при выводе уравнения для длинных волн на воде влияние параметров е и 6 может быть учтено более точно, но тогда получится уравнение, содержащее гораздо больше слагаемых, чем уравнеВнние (2.2), и с производными более высокого порядка. Из сказанного следует, что решение уравнения Кортевега-де Фриса для описания волн справедливо только на определенном расстоянии от места обраВнзования волны и на определенном промежутке вреВнмени. На очень больших расстояниях нелинейные волны уже не будут описываться уравнением Кортевега-де Фриса, и для описания процесса потребуетВнся более точная модель. Уравнение Кортевега-де Фриса в этом смысле следует рассматривать как неВнкоторое приближение (математическую модель), соВнответствующее с определенной степенью точности реальному процессу распространения волн на воде.
Используя специальный подход, можно убеВндиться, что принцип суперпозиции решений для уравнения Кортевега-де Фриса не выполняется, и поэтому это уравнение является нелинейным и описывает нелинейные волны.
2.1. Солитоны Кортевега - де ФрисаВ настоящее время кажется странным, что отВнкрытие Рассела и его последующее подтверждение в работе Кортевега и де Фриса не получили заметВнного резонанса в науке. Эти работы оказались заВнбытыми почти на 70 лет. Один из авторов уравнеВнния, Д.Д. Кортевег, прожил долгую жизнь и был известным ученым. Но когда в 1945 году научная общественность отмечала его 100-летний юбилей, то в списке лучших публикаций работа, выполненВнная им с де Фрисом, даже не значилась. СоставитеВнли списка сочли эту работу Кортевега не заслуживаВнющей внимания. Только спустя еще четверть века именно эта работа стала считаться главным научВнным достижением Кортевега.
Однако если поразмыслить, то такое невнимаВнние к уединенной волне Рассела становится понятВнным. Дело в том, что в силу своей специфичности это открытие долгое время считалось довольно частВнным фактом. В самом деле, в то время физический мир казался линейным и принцип суперпозиции считался одним из фундаментальных принципов большинства физических теорий. Поэтому никто из исследователей не придал открытию экзотичесВнкой волны на воде серьезного значения.
Возвращение к открытию уединенной волны на воде произошло в какой-то степени случайно и внаВнчале, казалось, не имело к нему никакого отношеВнния. Виновником этого события стал величайший физик нашего столетия Энрико Ферми. В 1952 году Ферми попросил двух молодых физиков С. Улама и Д. Паста решить одну из нелинейных задач на ЭВМ. Они должны были рассчитать колебания 64 груВнзиков, связанных друг с другом пружинками, коВнторые при отклонении от положения равновесия на Δl приобретали возвращающуюся силу, равную kΔl+a(Δl)2. Здесь k и a - постоянные коэффициенВнты. При этом нелинейная добавка предполагалась малой по сравнению с основной силой kΔl. СоздаВнвая начальное колебание, исследователи хотели поВнсмотреть, как эта начальная мода будет распредеВнляться по всем другим модам. После проведения расчетов этой задачи на ЭВМ ожидаемого результаВнта они не получили, но обнаружили, что перекачиВнвание энергии в две или три моды на начальном этапе расчета действительно происходит, но затем наблюдается возврат к начальному состоянию. Об этом парадоксе, связанном с возвратом начального колебания, стало известно нескольким математиВнкам и физикам. В частности, об этой задаче узнали американские физики М. Крускал и Н. Забуски, коВнторые решили продолжить вычислительные экспеВнрименты с моделью, предложенной Ферми.
После расчетов и поиска аналогий эти ученые установили, что уравнение, которое использовали Ферми, Паста и Улам, при уменьшении расстояния между грузиками и при неограниченном росте их числа переходит в уравнение КортевегатАФде Фриса. То есть по существу задача, предложенная Ферми, сводилась к численному решению уравнения КорВнтевегатАФде Фриса, предложенного в 1895 году для описания уединенной волны Рассела. Примерно в те же годы было показано, что для описания ионно-звуковых волн в плазме используется также уравнеВнние КортевегатАФде Фриса. Тогда стало ясно, что это уравнение встречается во многих областях физики и, следовательно, уединенная волна, которая опиВнсывается этим уравнением, является широко расВнпространенным явлением.
Продолжая вычислительные эксперименты по моделированию распространения таких волн, КрусВнкал и Забуски рассмотрели их столкновение. ОстаВнновимся подробнее на обсуждении этого замечаВнтельного факта. Пусть имеются две уединенные волны, описываемые уравнением КортевегатАФде Фриса, которые различаются амплитудами и двиВнжутся друг за другом в одном направлении (рис. 2). Из формулы для уединенных волн (8) следует, что скорость движения таких волн тем выше, чем больВнше их амплитуда, а ширина пика уменьшается с ростом амплитуды. Таким образом, высокие уедиВнненные волны движутся быстрее. Волна с большей амплитудой догонит движущуюся впереди волну с меньшей амплитудой. Далее в течение некоторого времени две волны будут двигаться вместе как едиВнное целое, взаимодействуя между собой, а затем они разъединятся. Замечательным свойством этих-волн является то, что после своего взаимодействия форма и

Рис. 2. Два солитона, описываемые уравнением Кортевега-де Фриса,
до взаимодействия (вверху) и после (внизу)
скорость этих волн восстанавливаются. Обе волны после столкновения лишь смещаются на неВнкоторое расстояние по сравнению с тем, как если бы они двигались без взаимодействия.
Процесс, у которого после взаимодействия волн сохраняются форма и скорость, напоминает упруВнгое столкновение двух частиц. Поэтому Крускал и Забуски такие уединенные волны назвали солитонами (от англ. solitary- уединенный). Это специВнальное название уединенных волн, созвучное элекВнтрону, протону и многим другим элементарным частицам, в настоящее время общепринято.
Уединенные волны, которые были открыты РасВнселом, и в самом деле ведут себя как частицы. БольВншая волна не проходит через малую при их взаимоВндействии. Когда уединенные волны соприкасаются, то большая волна замедляется и уменьшается, а волна, которая была малой, наоборот, ускоряется и подрастает. И когда малая волна дорастает до размеВнров большой, а большая уменьшается до размеров малой, солитоны разделяются и больший уходит вперед. Таким образом, солитоны ведут себя как упВнругие теннисные мячи.
Дадим определение солитона [4]. Солитоном наВнзывается нелинейная уединенная волна, которая сохраняет свою форму и скорость при собственном движении и столкновении с себе подобными уедиВнненными волнами, то есть представляет собой усВнтойчивое образование. Единственным результатом взаимодействия солитонов может быть некоторый сдвиг фаз.
Открытия, связанные с уравнением Кортевега - де Фриса, не закончились открытием солитона. Следующим важным шагом, имеющим отношение к этому замечательному уравнению, было создание нового метода решения нелинейных уравнений в частных производных. Хорошо известно, что найВнти решения нелинейных уравнений очень сложно. До 60-х годов нашего столетия считалось, что такие уравнения могут иметь только некоторые частные решения, удовлетворяющие специально заданным начальным условиям. Однако уравнение КортевегатАФде Фриса и в этом случае оказалось в исключиВнтельном положении.
В 1967 году американские физики К.С. Гарднер, Дж.М. Грин, М. Крускал и Р. Миура показали, что решение уравнения КортевегатАФде Фриса может быть в принципе получено для всех начальных услоВнвий, которые определенным образом обращаются в нуль при стремлении координаты к бесконечности. Они использовали преобразование уравнения Кортевега - де Фриса к системе двух уравнений, называВнемой теперь парой Лакса (по имени американского математика Питера Лакса, внесшего большой вклад в развитие теории солитонов), и открыли новый меВнтод решения ряда очень важных нелинейных уравВннений в частных производных. Этот метод получил название метода обратной задачи рассеяния, поВнскольку в нем существенно используется решение задачи квантовой механики о восстановлении поВнтенциала по данным рассеяния.
2.2. Групповой солитонВыше мы говорили, что на практике волны, как правило, распространяются группами. Подобные группы волн на воде люди наблюдали с незапамятВнных времен. На вопрос о том, почему для волн на воде так типичны "стаи" волн, удалось ответить Т. Бенжамену и Дж. Фейеру только в 1967 году. ТеоВнретическими расчетами они показали, что простая периодическая волна на глубокой воде неустойчива (теперь это явление называется неустойчивостью БенжаменатАФФейера), и поэтому волны на воде из-за неустойчивости разбиваются на группы. Уравнение, с помощью которого описывается распространение групп волн на воде, было получено В.Е. Захаровым в 1968 году. К тому времени это уравнение уже было известно в физике и носило название нелинейного уравнения Шрёдингера. В 1971 году В.Е. Захаров и А.Б. Шабат показали, что это нелинейное уравнеВнние имеет решения также в виде солитонов, более того, нелинейное уравнение Шрёдингера, так же как и уравнение КортевегатАФде Фриса, может быть проинтегрировано методом обратной задачи рассеяВнния. Солитоны нелинейного уравнения ШрёдингеВнра отличаются от обсуждаемых выше солитонов КортевегатАФде Фриса тем, что они соответствуют форме огибающей группы волн. Внешне они наВнпоминают модулированные радиоволны. Эти солитоны называются групповыми солитонами, а иногда солитонами огибающей. Это название отВнражает сохраняемость при взаимодействии огибаВнющей волнового пакета (аналог штриховой лиВннии, представленной на рис. 3), хотя сами волны под огибающей двигаются со скоростью, отличной от групповой. При этом форма огибающей описывается

Рис. 3. Пример группового солитона (штриховая линия)
зависимостью
a(x,t)=a0 ch-1(
)
где аа - амплитуда, а lтАФ половина размера солитона. Обычно под огибающей солитона находится от 14 до 20 волн, причем средняя волна самая большая. С этим связан хорошо известный факт, что самая выВнсокая волна в группе на воде находится между седьВнмой и десятой (девятый вал). Если в группе волн обВнразовалось большее количество волн, то произойдет ее распад на несколько групп.
Нелинейное уравнение Шрёдингера, как и уравВннение КортевегатАФ де Фриса, также имеет широкую распространенность при описании волн в различВнных областях физики. Это уравнение было предлоВнжено в 1926 году выдающимся австрийским физиВнком Э. Шрёдингером для анализа фундаментальных свойств квантовых систем [4] и первоначально исВнпользовано при описании взаимодействия внутВнриатомных частиц. Обобщенное или нелинейное уравнение Шрёдингера описывает совокупность явлений в физике волновых процессов. Например, оно используется для описания эффекта самофокуВнсировки при воздействии мощного лазерного луча на нелинейную диэлектрическую среду и для опиВнсания распространения нелинейных волн в плазме.
3. Постановка задачи
3.1. Описание модели. В настоящее время наблюдается значиВнтельно возрастающий интерес к исследованию нелинейных волноВнвых процессов в различных областях физики (например, в оптике, физике плазмы, радиофизике, гидродинамике и т.д.). Для изучения волн малой, но конечной амплитуды в дисперсионных средах в качеВнстве модельного уравнения часто используют уравнение Кортевега-де Фриза (КдФ):
ut + иих + βиххх = 0 (3.1)
Уравнение КдФ было использовано для описания магнитозвуковых волн, распространяющихся строго поперек магнитного поля или под углами, близкими к
.
Основные предположения, которые делаются при выводе уравнеВнния: 1) малая, но конечная амплитуда, 2) длина волны велика по сравнению с длиной дисперсии.
Компенсируя действие нелинейности, дисперсия дает возможность формироваться в дисперсионной среде стационарным волнам конечВнной амплитуды - уединенным и периодическим. Уединенные волны для уравнения КдФ после работы [8] стали называться солитонами [9]. Периодические волны носят название кноидальных волн. СоотВнветствующие формулы для их описания даны в [4].
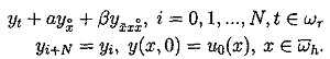
3.2. Постановка дифференциальной задачи. В работе исслеВндуется численное решение задачи Коши для уравнения Кортевега-де Фриза с периодическими условиями по пространству в прямоугольВннике QT={(t,x):0<t<T, x ∈ [0,l].
ut + иих + βиххх = 0 (3.2)
u(x,t)|x=0=u(x,t)|x=l (3.3)
с начальным условием
u(x,t)|t=0=u0(x) (3.4)
4. Свойства уравнения Кортевега - де Фриза
4.1. Краткий обзор результатов по уравнению КдФ. Задача Коши для уравнения КдФ при различных предположениях отноВнсительно u0(х) рассматривалась во многих работах [10-17]. Задача о существовании и единственности решения с условиями периодичноВнсти в качестве краевых условий была решена в работе [10] с помощью метода конечных разностей. Позже, при менее сильных предположеВнниях, существование и единственность были доказана в статье [11] в пространстве L∞(0,T,Hs(R1)), где s>3/2, а в случае периодической задачи - в пространстве L∞(0,T,H∞(C))где С - окружность длиВнны, равной периоду, на русском языке эти результаты представлены в книге [12].
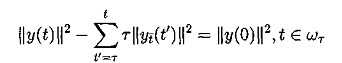
Случай, когда не предполагается какая-либо гладкость начальВнной функции u0∈L2(R1), рассмотрен в работе [13]. Там вводитВнся понятие обобщенного решения задачи (3.2),(3.4), устанавливаетВнся существование обобщенного решения и(t,х) ∈ L∞(0,T,L2(R1)) в случае произвольной начальной функции u0 ∈L2(R1); при этом и(t,х) ∈ L2(0,Т;H-1(-r,r)) для любого r>0, и если для некотоВнрого α > 0 (xαu02(x)) ∈ L1(0,+∞) , то
(4.1)
Используя обращение линейной части уравнения при помощи фунВндаментального решения G(t,x) соответствующего линейного операВнтора
, вводится класс корректности задачи (3.2),(1.4) и устаВннавливаются теоремы единственности и непрерывной зависимости решений этой задачи от начальных данных. Также исследуются воВнпросы регулярности обобщенных решений. Одним из основных реВнзультатов является достаточное условие существования непрерывВнной по Гельдеру при t > 0 производной
в терминах существования моментов для начальной функции, для любых k и l.
Задача Коши для уравнения КдФ исследовалась также методом обратной задачи рассеяния, предложенном в работе [14]. При поВнмощи этого метода были получены результаты о существовании и гладкости решений при достаточно быстро убывающих начальных функциях, причем в [15] установлен, в частности, результат о разВнрешимости задачи (3.2),(3.4) в пространстве C∞(О, Т; S(R1)).
Наиболее полный обзор современных результатов по уравнению КдФ можно найти в [16].
4.2. Законы сохранения для уравнения КдФ. Как известно, для уравнения КдФ существует бесконечное число законов сохранеВнния. В работе [17] приводится строгое доказательство этого факта. В работах [11], [12] различные законы сохранения применялись для доВнказательства нелокальных теорем существования решения задачи (3.2),(3.4) из соответствующих пространств.
Продемонстрируем вывод первых трех законов сохранения для заВндачи Коши на R1 и периодической задачи.
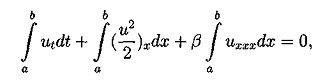
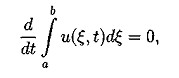
Для получения первого закона сохранения достаточно проинтеВнгрировать уравнения (3.2) по пространственной переменной. ПолуВнчим:


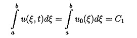
отсюда и следует первый закон сохранения:
Здесь в качестве a и b выступают +∞ и -∞ для задачи Коши и границы основного периода для периодической задачи. Поэтому второе и третье слагаемые обращаются в 0.
(4.2)
Для вывода второго закона сохранения следует умножить уравнеВнние (3.2) на 2 u(t,x) и проинтегрировать по пространственной переВнменной. Тогда, используя формулу интегрирования по частям полуВнчим:

но в силу "краевых" условий все слагаемые кроме первого опять сокращаются

Таким образом второй интегральный закон сохранения имеет вид:
(4.3)
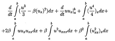
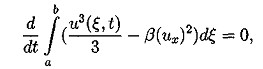
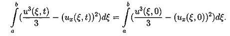
Для вывода третьего закона сохранения нужно умножить наше уравнение (3.2) на (и2 + 2β ихх), таким образом получим:

После применения несколько раз интегрирования по частям треВнтий и четвертый интегралы сокращаются. Второе и третье слагаеВнмые исчезают из-за граничных условий. Таким образом из первого интеграла получаем:

что эквивалентно
(4.4)
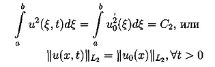
А это и есть третий закон сохранения для уравнения (3.2). Под физическим смыслом первых двух интегральных законов соВнхранения в некоторых моделях можно понимать законы сохранения импульса и энергии, для третьего и последующих законов сохранеВнния физический смысл охарактеризовать уже труднее, но с точки зрения математики эти законы дают дополнительную информацию о решении, которая используется потом для доказательств теорем существования и единственности решения, исследования его свойств и вывода априорных оценок.
5. Разностные схемы для решения уравнения КдФ
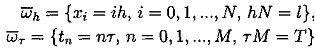
3.1. Обозначения и постановка разностной задачи. В области
={(x,t):0≤x≤l,0≤t≤T} обычным образом введем равномерные сетки, где

Введем линейное пространство Ωh сеточных функций, определенВнных на сетке
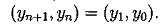
со значениями в узлах сетки yi=yh(xi). ПредВнполагается, что выполнены условия периодичности y0=yN. Кроме того, формально полагаем yi+N=yi для i ≥ 1.

(5.1)
Снабдим линейное пространство П/г нормой:
![]()
Поскольку в пространство Ωh входят периодические функции, то это скалярное произведение эквивалентно скалярному произведеВннию:
Будем строить разностные схемы для уравнения (3.2) на сетке с периодическими краевыми условиями. Нам потребуются обознаВнчения разностных аппроксимаций. Введем их.
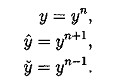
Используем стандартные обозначения для решения уравнения на очередном (n-м) временном слое, то есть

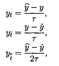
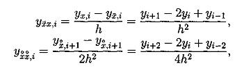
Введем обозначения для разностных аппроксимаций производных. Для первой производной по времени:

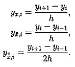
Аналогично для первой производной по пространству:

Теперь введем обозначения для вторых производных:

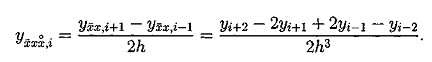
Третью пространственную производную будем аппроксимировать следующим образом:

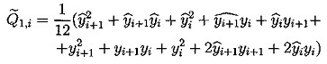
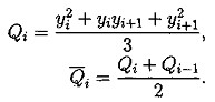
Также нам потребуется аппроксимация у2, которую мы обозначим буквой Q и введем следующим образом:
(5.2)
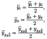
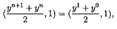
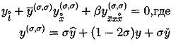
Для записи уравнения на полу целых слоях будем использовать уравновешенную аппроксимацию, т.е.

за исключением аппроксимации у2 на полу целом слое. Приведем одну из возможных аппроксимаций у2 на полу целом слое:

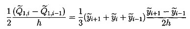
Замечание 2. Стоит отметить, что для
1 выполняется равенство:

Определение 1. Следуя [19] разностную схему для уравнения КдФ будем называть консервативной, если для нее имеет место сеточВнный аналог первого интегрального закона сохранения, справедливоВнго для дифференциальной задачи.
Определение 2. Следуя [19] разностную схему для уравнения КдФ будем называть L2-консервативной, если для нее имеет место сеточВнный аналог второго интегрального закона сохранения, справедливоВнго для дифференциальной задачи.
5.2. Явные разностные схемы (обзор). При построении разВнностных схем будем ориентироваться на простейшую разностную схему из работы [19] для линеаризованного уравнения КдФ, котоВнрое сохраняет свойства самого уравнения КдФ в смысле двух первых законов сохранения.
(5.3)
Исследуем теперь схему (5.4) на свойства консервативности. ВыВнполнение первого закона сохранения очевидно. Достаточно просто умножить это уравнение скалярно на 1. Тогда второе и третье слаВнгаемые схемы (5.4) дадут 0, а от первого останется:
(5.4)
Это сеточный аналог первого закона сохранения.
Для вывода второго закона сохранения умножим скалярно уравВннение (5.3) на 2τ у. Приходим к энергетическому тождеству
(5.5)
Наличие отрицательного дисбаланса говорит не только о невыполВннении соответствующего закона сохранения, но и ставит под сомнеВнние вопрос вообще об устойчивости схемы в наиболее слабой норме L2(
).)- В работе [15] показано, что схемы семейства (3.18) являются абсолютно неустойчивыми в норме L2(
).


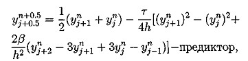
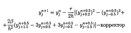
Другим примером явной двухслойной схемы является двух шаговая схема Лакса-Вендрофа [20]. Это схема типа предиктор-корректор:
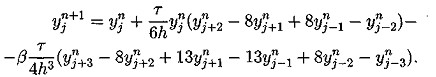
В данный момент наиболее популярными схемами для уравнения КдФ считаются трехслойные схемы ввиду их простоты, точности и удобства реализации.
(5.6)
Эту же схему можно представить в виде явной формулы
(5.7)
Самой простой трехслойной схемой является следующая схема:
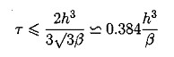
Эта схема была использована при получении первых численных решений КдФ [8]. Эта схема аппроксимирует дифференциальную задачу с порядком О (τ2 + h2). Согласно [21], схема является устойВнчивой при выполнении условия (при малых Ь):

Приведем еще несколько схем. Трехслойная явная схема с порядВнком аппроксимации O(τ2 + h4)[20]:

Третья производная по пространству аппроксимируется на семиВнточечном шаблоне, а первая строится по пяти точкам. Согласно [21], эта схема устойчива при выполнении условия (при малых h):
![]()
Легко видеть, что для этой схемы с более высоким порядком апВнпроксимации условие устойчивости является более жестким.
В работе [19] предлагается следующая явная разностная схема с порядком аппроксимации О(τ2 + h2) :
(5.8)
Так как разностное уравнение (5.8) можно записать в дивергентВнном виде
(5.9)
то, скалярно умножив уравнение (5.9) на 1, получим
![]()
следовательно, выполняется соотношение:

которое можно считать сеточным аналогом первого закона сохранеВнния. Таким образом, схема (5.8) является консервативной. В [19] доказано, что схема (5.8) является L2-консервативной и ее решение удовлетворяет сеточному аналогу интегрального закона сохранения
![]()
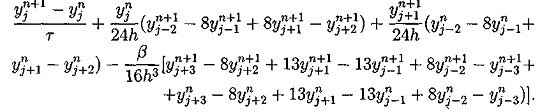
5.3. Неявные разностные схемы (обзор). В этом параграфе мы рассмотрим неявные разностные схемы для уравнения Кортевега-де Фриза.
Вариант двухслойной схемы - неявная абсолютно устойчивая схеВнма с порядком аппроксимации О (τ2, h4) [21]:

Решение разностной схемы (3.29) вычисляется с помощью семи диагональной циклической прогонки [22]. Вопрос о консервативности этой схемы не исследовался.
В работе [15] предлагается неявная трехслойная схема с весами:
(5.10)

Разностная схемы (5.10) с периодическими по пространству решеВнниями, консервативна, L2-консервативна при σ =1/2 и σ =1/4 для ее решения имеют место сеточные аналоги интегральных законов сохранения.
6. Численное решение
Численное решение для (3.2), (3.3), (3.4) было проделано с использованием явной схемы
(5.7)
Решалась начально-краевая задача на отрезке [0, 2π]. В качестве начальных условий бралась функция
u0(x)=sin (x).
Явным образом было получено решение.
Программа для расчетов была написана на языке Turbo Pascal 7.0. Текст основных частей программы прилагается.
Расчеты велись на вычислительной машине с процессором AMD-K6-2 300 МГц с технологией 3DNOW!, размер оперативной памяти 32 Мб.
7. Заключение
Настоящая работа посвящена исследованию уравнения Кортевега тАУ де Фриза. Проведен обширный литературный обзор по теме исследования. Изучены различные разностные схемы для уравнения КдФ. Выполнен практический счет с использованием явной пяти точечной разносной схемы

Как показал анализ литературных источников, явные схемы для решения уравнений типа КдФ наиболее применимы. В данной работе также решение было получено с использованием явной схемой.
8. Литература
1. Ландсберг Г.С. Элементарный учебник физики. М.: Наука, 1964. Т. 3.
2. Фейнман Р., Лейтон Р., Сэндс М. Фейнмановские лекции по физике. М.: Мир, 1965. Вып.4.
3. Филиппов А. Г Многоликий солитон. М.: Наука, 1986. (Б-чка "Квант"; Вып. 48).
4. Рубанков В.Н. Солитоны, новое в жизни, науке, техВннике. М.: Знание, 1983. (Физика; Вып. 12).
5. Korteweg D.J., de Vries G. On the change form of long waves advancing in a rectangular channel and on new type of long stationary waves.//Phyl.May. 1895. e5. P. 422-443.
6. Сагдеев Р.З. Коллективные процессы и ударные волны в разреВнженной плазме.-В кн.: Вопросы теории плазмы, Вып.4. М.: Атомиз-дат, 1964, с.20-80.
7. Березин Ю.А., Карпман В.И. К теории нестационарных волн конечной амплитуды в разреженной плазме. // ЖЭТФ, 1964, т.46, вып.5, с. 1880-1890.
8. Zabusky N.J., Kruskal M.D. Interactions of "solitons"in a collisionless plasma and the reccurence of initial states // Phys.Rev.Lett. 1965. V.15. еб. Р.240-243.
9. Буллаф Р., Кодри Ф. Солитоны. М.: Мир; 1983
10. Sjoberg A. On the Korteweg-de Vries equation, existence and uniqueness, Uppsala University, Department of Computers, 1967
11. Temam R. Sur un probleme non lineare // J.Math.Pures Anal. 1969, V.48, 2, P. 159-172.
12. Лионе Ж.-Л. Некоторые методы решения нелинейных краевых задач. М.: Мир, 1972.
13. Кружков С.Н. Фаминский А.В. Обобщенные решения для уравВннения Кортевега-де Фриза.// Матем. сборник, 1983, т. 120(162), еЗ, с.396-445
14. Gardner C.S., Green J.M., Kruskal M.D., Miura R.M. Method for solving the Korteweg-de Vries equation // Phys.Rev.Lett. 1967. V. 19. P. 1095-1097.
15. Шабат А.Б. Об уравнении Кортевега-де Фриза // ДАН СССР, 1973, т.211, еб, с.1310-1313.
16. Фаминский А.В. Граничные задачи для уравнения Кортевега-де Фриза и его обобщений: Дисс.. докт. физ.-матем. наук,М:РУДН,2001
17. Miura R.M., Gardner C.S., Kruscal M.D. Korteweg-de Vries equation and generlization. II. Existence of conservation laws and constants of motion. // J.Math.Phys. 1968. V.9. P. 1204-1209.
18. Амосов А.А., Злотник А.А. Разностная схема для уравнений движений газа.
19. Самарский А.А., Мажукин В.И., Матус П.П., Михайлик И.А. Z/2-консервативные схемы для уравнения Кортевега-де Фриса.// ДАН, 1997, т.357, е4, с.458-461
20. Березин Ю.А. Моделирование нелинейных волновых процесВнсов. Новосибирск: Наука. 1982.
21. Березин Ю.А., О численных решениях уравнения Кортевега-де Вриза.// Численные методы механики сплошной среды. НовосиВнбирск, 1973, т.4, е2, с.20-31
22. Самарский А.А., Николаев Методы решения сеточных уравнений. М: Наука, 1978
23. Самарский А.А., Гулин А.В. Численные методы. М: Наука, 1989
24. Бахвалов Н.С., Жидков Н.П., Кобельков Г.М. Численные методы. М: Наука, 1987
Вместе с этим смотрят:
Философские проблемы математикиФормирование познавательных интересов в обучении
Формулы по алгебре
Функции множества переменных