Предварительный усилитель с использованием ОУ
Ступинский авиа-металлургический
техникум им. А.Т.Туманова
КУРСОВОЙ ПРОЕКТ
ПРЕДВАРИТЕЛЬНЫЙ УСИЛИТЕЛЬ
С ИСПОЛЬЗОВАНИЕМ тАЬОУтАЭ
АВТОР: Иванов И.И.
ГРУППА: Э - 7
ПРЕДМЕТ: тАЬАналоговая схемотехникатАЭ
г. Ступино,
1997.
Содержание
Введение 2
Теоретическая часть 3
Классификация усилителей 3
Принципиальная схема
операционного усилителя (ОУ) 5
Основные параметры ОУ 5
Схемы включения ОУ 10
Расчетная часть 12
Исходные данные 12
Расчет элементов схемы 12
Разработка печатной платы 16
Список используемой литературы 18
Введение
Микроэлектроника - это область электроники, занимающаяся созданием электронных узлов, блоков и устройств в миниатюрном интегральном исполнении.
Ход развития электроники был предопределен резким увеличением функций, выполняемых РЭА и повышением требований к ее надежности.
Прогресс технологии и схемотехники, позволивший создать новую элементную базу, был в 60-70 годах столь быстрым, что он проявился не только во многих устоявшихся терминах радиоэлектроники, но значительно пополнил ее словарный запас.
В 1971 г. был разработан Государственный стандарт по терминологическим вопросам (ГОСТ 17021-71). Он включил 16 терминов, причем наряду с общими понятиями были даны однозначные определения и для частей микросхем.
В 1979 г. был утвержден стандарт СТ СЭВ 1023-79 по терминам и определениям в области микроэлектроники, и в соответствии с этим были введены изменения в ГОСТ 17021-75, а в 1987 г. был выпущен ГОСТ 27394-87, в 1988 г. - ГОСТ 17021-88.
Интегральная микросхема - микроэлектронное изделие, выполняющее определенную функцию преобразования, обработки сигнала и (или) накапливания информации и имеющее высокую плотность упаковки электрически соединенных элементов и (или) кристаллов, которое с точки зрения требований к испытаниям, приемке, поставке и эксплуатации рассматривается как единое целое.
Элемент интегральной микросхемы - это часть интегральной микросхемы, реализующая функцию какого-либо радиоэлемента (например, транзистора, диода, резистора, конденсатора), которая выполнена нераздельно от кристалла или подложки.
Большая роль отводится радиоэлектронике в обеспечении высоких скоростей управления при высокой точности. В космонавтике, ядерной физике, вычислительной технике, кибернетики, электроэнергетике, на транспорте и во многих других отраслях широко применяют средства радиоэлектроники для управления и контроля самых различных процессов.
Основными задачами, которые должна решать радиоэлектроника, являются разработка и совершенствование ее элементной базы, особенно в области микроэлектроники (микросхемы, микропроцессоры и др.), внедрение последних достижений электроники в народное хозяйство, совершенствование технологии производства электронных изделий и систем, повышение качества и надежности этих изделий и т.д.
1. Теоретическая часть
1.1. Классификация усилителей
1.1.1. Электронными усилителями называют устройства, предназначенные для повышения мощности входных электрических сигналов. При этом процесс усиления сигналов осуществляется с помощью усилительных элементов - транзисторов, обладающих управляющими свойствами.
Маломощный входной сигнал управляет расходом энергии источника питания значительно большего уровня мощности.
Обобщенная схема усилительного каскада приведена на рис. 1.
1.1.2. По назначению различают усилители напряжения, тока и мощности.
В выходной цепи усилителя напряжения действует сигнал, амплитуда напряжения которого равна
.
В выходной цепи усилителя тока действует сигнал, амплитуда напряжения которого равна
.
Усилители мощности обеспечивают заданное усиление в выходной цепи как по току, так и по напряжению.
1.1.3. В зависимости от характера изменения во времени входного сигнала различают усилители постоянного и переменного тока. Для усилителей постоянного тока характерно наличие усиления уже при нижней частоте
.
1.1.4. Если усиления одного усилительного элемента недостаточно, то в качестве нагрузки каскада используют входную цепь второго усилительного элемента и т.д.
Усилитель, содержащий несколько ступеней усиления, называют многокаскадным.
1.1.5. Рассмотренные принципы построения усилительных каскадов используют при проектировании интегральных микросхем аналогичного назначения. Технологически такие усилители выполняют в виде монолитной схемы, содержащей все необходимые элементы в интегральном исполнении. Выполняемая ими функция описывается уравнением ![]()
1.2. Принципиальная схема
операционного усилителя (ОУ)
1.2.1. Операционные усилители (ОУ) в интегральном исполнении в настоящее время составляют основу аналоговых интегральных микросхем.
Принципиальная схема типового дифференциального ОУ приведена на рис. 3.
Приведена схема первого поколения. Интегральные ОУ второго и третьего поколения более развитые и усовершенствованные.
1.2.2. Операционные усилители предназначены для выполнения математических операций при использовании его в схеме с обратной связью. Однако, область применения ОУ, выполненного в виде микросхемы, значительно шире. Поэтому в настоящее под ОУ принято понимать микросхему - усилитель постоянного тока, позволяющий строить узлы аппаратуры, функции и технические характеристики которых зависят только от свойств цепи обратной связи, в которую он включен.
1.3. Основные параметры ОУ
1.3.1. Интегральный ОУ имеет следующие основные параметры:
1. Коэффициент усиления напряжения
- отношение изменения выходного напряжения. В общем случае, коэффициент усиления ОУ, не охваченного обратной связью, равен произведению
всех его каскадов. В настоящее время
некоторых усилителей по постоянному току превышает 3*106. Однако его значение уменьшается с ростом частоты входного сигнала, при этом суммарная амплитудно-частотная характеристика (АЧХ) имеет столько изломов, сколько усилительных каскадов в ОУ. Каждый каскад на высоких частотах вносит фазовый сдвиг, который влияет на устойчивую работу ОУ, охваченного отрицательной обратной связью (ООС). Устойчивой работы усилительных каскадов ОУ добиваются введением частотной коррекции - внешних нагрузочных RC-цепей. Для стабилизации двухкаскадного усилителя обычно требуется одна цепь, трехкаскадного - две. Многие ОУ последних выпусков не требуют внешних цепей коррекции, так как в их схему уже введены необходимые элементы.
2. Частота единичного усиления f1 - значение частоты входного сигнала, при котором значение коэффициента усиления напряжения ОУ падает до единицы. Этот параметр определяет максимально реализуемую полосу
усиления ОУ. Выходное напряжение на этой частоте ниже, чем для постоянного тока примерно в 30 раз.
3. Максимальное выходное напряжение Uвых.макс - максимальное значение выходного напряжения, при котором искажения не превышают заданного значения. В отечественной практике этот параметр измеряется относительно нулевого потенциала как в положительную, так и в отрицательную сторону
. В зарубежных каталогах приводят значение максимального диапазона выходных напряжений, который равен 2Uвых. Выходное напряжение измеряется при определенном сопротивлении нагрузки. При уменьшении сопротивления нагрузки величина Uвых.макс уменьшается.
4. Скорость нарастания выходного напряжения VUвых - отношение изменения Uвых от 10 до 90% от своего номинального значения ко времени, за которое произошло это изменение. Параметр характеризует скорость отклика ОУ на ступенчатое изменение сигнала на входе; при измерении ОУ охвачен ООС с общим коэффициентом усиления от 1 до 10.
5. Напряжение смещения Uсм - значение напряжения, которое необходимо подать на вход ОУ, чтобы на выходе напряжение было равно нулю. Операционный усилитель реализуется в виде микросхемы со значительным числом транзисторов, характеристики которых имеют разброс по параметрам, что приводит к появлению постоянного напряжения на выходе в отсутствие сигнала на входе. Параметр Uсм помогает разработчикам рассчитывать схемы устройств, подбирать номиналы компенсационных резисторов.
6. Входные токи Iвх - токи, протекающие через входные контакты ОУ. Эти токи обусловлены базовыми токами входных биполярных транзисторов и токами утечки затворов для ОУ с полевыми транзисторами на входе. Входные токи, проходя через внутреннее сопротивление источника сигнала, создают падения напряжений, которые могут вызвать появление напряжений на выходе в отсутствие сигнала на входе.
7. Разность входных токов
. Входные токи могут отличаться друг от друга на 10тАж20%. Зная разность входных токов, можно легко подобрать номинал балансировочного резистора.
Все параметры ОУ изменяют свое значение - дрейфуют с изменением температуры. Особенно важными дрейфами являются:
8. Дрейф напряжения смещения
.
9. Дрейф разности входных токов
.
10. Максимальное входное напряжение Uвх - напряжение, прикладываемое между входными контактами ОУ, превышение которого ведет к выходу параметров за установленные границы или разрушению прибора. В таблицах приводятся значения
, в зарубежной литературе - абсолютные значения диапазона.
11. Максимальное синфазное входное напряжение Uвх.сф - наибольшее значение напряжения, прикладываемого одновременно к обоим входным выводам ОУ относительно нулевого потенциала, превышение которого нарушает работоспособность прибора. В отечественной документации приводят модуль величины Uвх.сф, а в зарубежной - диапазон.
12. Коэффициент ослабления синфазного сигнала Кос.сф - отношение коэффициента усиления напряжения, приложенного между входами ОУ, к коэффициенту усиления общего для обоих входов напряжения.
13. Выходной ток - максимальное значение выходного тока ОУ, при котором гарантируется работоспособность прибора. Это значение определяет минимальное сопротивление нагрузки. Очень важно при расчете комплексного сопротивления нагрузки учитывать, что при переходных процессах включения (выключения) ОУ значения емкостной или индуктивной составляющей сопротивления нагрузки резко изменяются, и при неправильном подборе нагрузки схема может выйти из строя.
Часто вместо значения Iвых в документации приводят минимальное значение сопротивление нагрузки Rн.мин. Большая часть ОУ, разработанных в последнее время, имеет каскад, ограничивающий величину входного тока при внезапном замыкании выходного контакта на шину источника питания или нулевой потенциал. Предельный выходной ток при этом - ток короткого замыкания Iк.з равен 25 мА.
1.3.2. Конструкторы и технологи микросхем ОУ постоянно ищут способы улучшения основных параметров приборов: увеличения f1,VUвых и др. Применяя схемотехнические решения и вводя новые технологические приемы, стараются снизить значения тАЬпаразитныхтАЭ параметров Uсм, Iвх,
и их дрейфов, а также мощность, потребляемую прибором. Как правило, достичь максимального значения для всех параметров невозможно. Достижение максимального значения одного параметра часто осуществляется за счет ухудшения другого. Так, увеличение коэффициента усиления по напряжению влечет за собой снижение частотных свойств и наоборот.
Как результат поисков и эволюции схемотехнических и технологических решений был создан ряд ОУ, который согласно квалификации по ГОСТ 4465-86 делится на:
универсальные (общего применения), у которых Куu=103тАж105; f1=1.5тАж10 Мгц;
прецизионные (инструментальные) с Куu>0.5*106 и гарантированными малыми уровнями Uсм
0.5 мВ и его дрейфа;
быстродействующие со скоростью нарастания выходного напряжения VUвых
20 В/мкс;
регулируемые (микромощные) с током потребления Iпот<1 мА.
1.3.3. В зависимости от условий подачи на вход ОУ усиливаемого сигнала, а также с учетом подключения внешних компонентов можно получить инвертирующее и неинвертирующее включения усилителя. Любое схемотехническое решение с применением ОУ содержит одно из таких включений. На рис. 2а приведена модель инвертирующего включения ОУ. Так как усиление ОУ очень велико, то с небольшой ошибкой будем считать такую модель идеальной, что соответствует выполнению условий Ku
и Ki
0, где Ku и Ki - коэффициенты усиления по напряжению и току без обратной связи, а также Rвх
и Rвых
. В этом случае коэффициент ОУ будет равен:
![]()
Знак тАЬ-тАЬ в уравнении указывает на инвертирование фазы (полярности) выходного сигнала.
На рис. 2б приведена модель неинвертирующего ОУ. Принимая во внимание модель ОУ идеальной, как и в предыдущем случае Ku
и Ki
, Rвх
и Rвых
0, для данной схемы
![]()
В данном случае знак тАЬ-тАЬ отсутствует, так как фаза (полярность) выходного сигнала совпадает с фазой входного сигнала.
Входное сопротивление реального инвертирующего усилителя с учетом наличия обратной связи велико:
,
где Rвх.м - собственное входное сопротивление микросхемы;
Ku - коэффициент усиления микросхемы без обратной связи.
![]()
Выходное сопротивление реального неинвертирующего усилителя мало
,
где Rвых.м - собственное выходное сопротивление микросхемы.
1.4. Схемы включения ОУ
Принципиальная схема разрабатываемого усилителя может быть выполнена с использованием дифференциальных микросхем следующих серий: К140, К153, К154, К544, К574 и др. На рис. 4 приведены некоторые схемы включения микросхем серии К140. Данные цепей частотной коррекции и цепей баланса взяты из справочной литературы по практическому применению микросхем.
Цепи частотной коррекции предотвращают самовозбуждения усилителя, а цепи баланса при большом коэффициенте усиления позволяют в отсутствии входного сигнала установить на выходе микросхемы напряжение равное нулю. Коэффициент усиления данного каскада будет равен (как уже говорилось выше)
,
а значение R3 выбирают равным R1.
2. Расчетная часть
2.1. Исходные данные
Предварительный усилитель с использованием ОУ:

Предварительный усилитель с заданными входными и выходными параметрами можно спроектировать, исходя из справочных данных, на микросхеме широкого применения К140УД1Б с дополнительной стабилизацией напряжения питания до
, и используя схему инвертирующего усилителя.
Принципиальная электрическая схема приведена на рис. 5.
2.2. Расчет элементов схемы
2.2.1. Коэффициент усиления по напряжению проектируемого усилителя должен быть равен:
;
.
Из уравнения видно, что
. На практике R1 выбирают от сотен ом до нескольких десятков килоом, а R2 таким, которое обеспечит нужное соотношение R2/R1. В данном случае, задачей является выбрать такие номиналы R2 и R1, которые входят в ряд выпускаемых промышленностью номиналов.
Пользуясь справочником выбираем:
![]()
Отсюда:
![]()
Резистор R3 для выравнивания входных токов микросхемы выбираем равным R1
![]()
2.2.2. Входное сопротивление инвертирующего усилителя на ОУ всегда выше внутреннего сопротивления ОУ и реально равно:
, где
- внутреннее сопротивление микросхемы,
- коэффициент передачи обратной связи (
),
- коэффициент усиления микросхемы без обратной связи.
Для микросхемы К140УД1А из справочника:
= 400КОм;
![]()
1000.
Отсюда,
усилительного каскада равно:
![]()
Для получения заданного входного сопротивления (500КОм), вход усилителя нужно зашунтировать сопротивлением R4 (подключить параллельно входу).
Тогда
будет равно:
![]()
Выбирая R4 = 1100КОм (1.1МОм)
![]()
2.2.3. Выходное сопротивление реального усилительного каскада всегда меньше выходного сопротивления микросхемы:
, где
- сопротивление выхода микросхемы (
= 700 Ом),
- коэффициент передачи обратной связи (
),
- коэффициент усиления микросхемы без обратной связи.

Для получения заданного выходного сопротивления усилителя (1000Ом), выходное сопротивление микросхемы должно быть равно:
![]()
Для получения такого выходного сопротивления микросхемы в выходную цепь микросхемы последовательно включаем резистор R8:
, т.е.

Резистор R8 также будет являться защитой выхода микросхемы от короткого замыкания.
2.2.4. Сопротивление нагрузки проектируемого усилителя по заданию составляет 500 Ом. При выходном сигнале 0.7 В, ток в нагрузке будет равен:

Для микросхемы К140УД1Б максимальный выходной ток по справочнику составляет 3 мА, что в два раза превышает расчетный.
2.2.5. Микросхема К140УД1Б питается от двухполярного стабилизированного источника питания напряжением
. Так как по заданию напряжение источника питания
, то для питания усилителя целесообразно применить параметрические стабилизаторы R6V1 и R7V2. Стабилитроны V1 и V2 с напряжением стабилизации 12
13 В и током стабилизации 10
20 мА. Для этого подойдут стабилитроны КС212, КС213 или КС512, КС513.
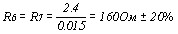
Балластные резисторы R6 и R7 при падении напряжения на них
![]()
обеспечивают ток порядка 15 мА (0.015 А) и имеют сопротивление равное:
![]()
![]()
2.3. Разработка печатной платы
Монтаж деталей усилителя производится на печатной плате размером 73*35 мм (рис. 6), выполненной из одностороннего фольгированного гетинакса или стеклотекстолита. Все детали должны подвергаться отбраковочной проверке. Изгиб выводов деталей производится с радиусом не менее двух толщин вывода. При лужении выводов деталей должны соблюдаться следующие параметры:
- предельная температура припоя -
; - предельное время нахождения выводов в расплавленном припое - 2с;
- минимальное расстояние от тАЬтелатАЭ корпуса до границы припоя по длине вывода - 1 мм;
- предельно допустимое число погружений одних и тех же выводов в припой - 2.
Необходимо тщательно следить за тем, чтобы не образовывались перемычки между выводами, поверхность припоя должна быть сплошной, без трещин, пор, необлуженных участков. Паяная поверхность должна быть светлой или светло-матовой без темных пятен и посторонних включений.
Список используемой литературы
- А.К.Криштафович, В.В.Трифонюк. Основы промышленной электроники. - М.: Высшая школа, 1985
- А.К.Касаткин, М.В.Немцов. Электротехника, 4-е изд. - М.: Энергоатомиздат, 1983
- А.Г.Морозов. Электротехника, электроника, импульсная техника. - М.: Высшая школа, 1987
- Под ред. Б.В.Тарабрина. Справочник по интегральным микросхемам. - М.: Энергия, 1980
- Ж.Марше. Операционные усилители и их применение. - М.: Энергия, 1985
Вместе с этим смотрят:
Приборы выдачи измерительной информацииПриёмник переносной радиовещательный ДВ-СВ диапазон
Примеры задач оптимизации, связанных с фундаментальными понятиями теории связи
Проектирование активных RC-фильтров