Приёмник переносной радиовещательный ДВ-СВ диапазон
1 Введение
Телевидение и звуковое радиовещание тАУ самые массовые средства информации.
Телевидение (ТВ) и звуковое радиовещание (ЗВ) стали теперь самыми популярными и эффективными средствами массовой информации. Если говорить об электронном и многострочном ТВ, то оно начало распространяться со второй половины 30-х годов (1936 г. тАУ США, Англия, 1938 г.тАУ Франция, СССР). В нашей стране оно стало приобретать по-настоящему широкий размах со второй половины 50-х годов. Радиовещание зародилось примерно на 15 лет раньше многострочного ТВтАУпосле окончания первой мировой войны. Первая вещательная станция заработала в России в 1922 г.
За прошедшие годы в нашей стране создана уникальная по своим масштабам и возможностям распределительная передающая сеть ТВ и ЗВ. В этой сети сегодня работает около 12000 телевизионных передатчиков мощностью от 1Вт до 50кВт и около 1700 радиовещательных передатчиков различных диапазонов и мощноститАУот десятков ватт до 2МВт.
Для раздачи по стране на передатчики Федеральных, межрегиональных и региональных программ ТВ и ЗВ используется орбитальная группировка из десяти спутников связи и более 100000 км наземных радиолинейных линий связи.
С помощью распределительной сети осуществляется пятизоновое вещание формируемых в Москве Федеральных программ ТВ и ТЗ. Это позволяет их доводить в удобное для население время суток по всей территории России, занимающей 10 часовых поясов. В настоящее время одну программу ТВ могут смотреть до 98,9% населения, две программы тАУ до 96,5% и три и более программы тАУ до 60% населения. Аналогичным способом обеспечивается высокий процент охвата населения основными программами ЗВ.
Для ТВ сначала было выделено 12 каналов в метровом диапазоне, но вскоре этот частотный спектр был исчерпан и, потребовалось освоение дециметровых волн, без чего было невозможно увеличение числа передаваемых программ. Происходящие изменение в политической и экономической жизни России приводят к появлению, как в центре, так и в регионах негосударственных телевизионных компаний, и для выделения им ТВ каналов требуется освоение всё более высоких участков спектра. Но в такой путь увеличения числа ТВ программ не безграничен. Поэтому во многих случаях решать проблему многопрограммности целесообразно с помощью сетей кабельного телевидения, а также спутниковых систем непосредственного телевизионного вещания.
Более эффективное использование спектра средствами ТВ и ЗВ, что даёт возможность увеличить число передающих средств в том же частотном пространстве.
Многие действующие ныне передающие средства ТВ и ЗВ морально устарели и нуждаются, до их замены, в модернизации. В ходе её предстоит на основе новых технологий упрощать принципиальные схемы, повышать КПД энергоёмких каскадов, повышать степень автоматизации передающих средств. Огромные возможности повышения эффективности передающей сети заложены во внедрении уже известных методов передачи значительных потоков дополнительной информации одновременно с передачей основных программ ТВ и ЗВ.
Большие перспективы открывают цифровые методы формирования, обработки и передачи сигналов как ТВ, так и ЗВ.
В настоящее время у нас и за рубежом интенсивно ведутся исследование по созданию систем ТВ повышенного качества и телевидения высокой точности (ТВ ВЧ). Отечественные специалисты вносят существенный вклад в эти работы. Так, ими разработана концепция ТВ ВЧ-6-7-8, реализация которой позволяет передавать сигналы ТВ ВЧ по обычным каналам с полосой пропускания 6,7 и 8мГц. Эти методы позволяют существенно экономить частотный спектр.
Звуковое радиовещание в нашей стране многие десятилетия велось в диапазонах длинных, средних и коротких волн с помощью передатчиков достаточно большой мощноститАУв десятки, сотни киловатт и даже 1тАУ2МВт. Это позволило доводить программу до населения, проживающего на больших удалениях от передающих центров и радиостанций. Однако работа в этих диапазонах не может обеспечить вещание высокого качества. Для высококачественного УКВ ЧМ вещания в нашей стране был выделен диапазон 66тАж74МГц, причём для стереофонических передач в этом диапазоне применяется полярная модуляция. В последующее время в России стал осваиваться также европейский диапазон 88тАж108МГц, но только на усечённом участке 100тАж108МГц. Работа УКВ ЧМ станций только в диапазоне 66тАж74МГц была вызвана тем, что международный диапазон до 100МГц использовался в СССР для ТВ, а более высокочастотный участоктАУдругими ведомствами. Сейчас это положение начинает медленно, но исправляться тАУ международные вещательные диапазоны начинают освобождаться от других служб. Сказанное в отношении УКВ ЧМ вещания в полной мере может быть отнесено и к ТВ.
С образованием СНГ возникла необходимость учитывать возможное мешающее действие российских сетей ЗВ на сети регионов, ставшим зарубежными. В связи с этим рассматриваются новые подходы к планированию сетей, изучается целесообразность перехода на сети с использованием передатчиков небольшой мощности там, где это оправдано технически и экономически.
Приведённые примеры свидетельствует о том, что имеются большие резервы для повышения качества и многопрограммности телевизионного и звукового вещания, эффективности использования частотного спектра.
3 Выбор и обоснование принципиальной схемы
Разбивка на поддиапазоны не производится, так как Кд=Fmax/Fmin=285/148=1.93. Если Кд=2-3, то разбивка не нужна. Растяжка не нужна, так как коэффициент перекрытия расчетный меньше заданного. Избирательность по соседним каналам обеспечивается в избирательной системе путем улучшения добротности и увеличения добротности и увеличением промежуточной частоты. Между входной цепью и антенной емкостная связь, так как она обеспечивает наибольшее постоянство коэффициента передачи. Между входной цепью и первым каскадом индуктивно емкостная связь, так как она обеспечивает наибольшее постоянство коэффициента связи. Преобразователь частоты выполнен по схеме с совмещенным гетеродином. Преобразователь частоты служит для: преобразования несущей частоты входного радиосигнала в промежуточную; обеспечения избирательности по соседнему каналу; обеспечения усиления полезного сигнал на промежуточной частоте. Избирательность по соседнему каналу частично обеспечивается во входной цепи, а в основном в избирательной системе, путем улучшения ее добротности при полосе пропускания равной 6,3КГц. Основное усиление сигнала происходит в каскадах усилителя промежуточной частоты. УПЧ строят на ВЧ транзисторах, по схеме с ОЭ. Каскодные схемы УПЧ применяют для повышения коэффициента усиления и стабильности каскадов. Для улучшения стабильности усиления на базу первого широкополосного каскада подается напряжение автоматической регулировки усиления. В каскадах УПЧ для стабилизации режима работы применяют цепи нейтрализации. В схеме использован амплитудный детектор, так как приемник ловит АМ сигнал. Детектор предназначен для получения тока или напряжения меняющегося по закону модуляции. Предварительный УНЧ предназначен для усиления сигнала низкой частоты, и отфильтровывания от него помех. В ПУНЧ транзисторы работают в режиме класса А, так как в этом режиме высокая помехозащищенность. Усилитель низкой частоты трехкаскадный они выполнены на n-p-n транзисторах по схеме с общим эмиттером. Нагрузкой первого и второго каскада являются последующие каскады. Нагрузкой третьего каскада является согласующий трансформатор. Выходной каскад выполнен на транзисторах VT8, VT9 по двухтактной схеме нагружен на трансформатор Т2 и работает в режиме класса В.Необходимое начальное смещение на базы транзисторов VT8, VT9 подается резистора R24 за счет эмиттерного тока транзистора VТ5. Два последних каскада УНЧ охвачены глубокой отрицательной обратной связью. Для коррекции частотной характеристики УНЧ в области верхних звуковых частот применены конденсаторы С 34, С31. На входе второго каскада ПУНЧ ставится регулятор тембра верхних звуковых частот, состоящий из С19, R11.
2 Предварительный расчёт структурной схемы приёмника
2.1 Выбор и обоснование структурной схемы приёмника
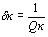
В наше время приёмники собранные по схеме прямого усиления практически не применяются в связи с большими недостатками этого типа построения приёмников. Один из наиболее серьёзных недостатков то, что структурная схема прямого усиления имеет низкую чувствительность так как на высокой несущей частоте невозможно обеспечить высокий коэффициент усиления, схема же супергетеродинного типа обеспечивает высокую чувствительность так как основное усиление происходит в каскадах УПЧ на неменяющейся при перестройки приёмника промежуточной частоте при сколь угодно большом числе каскадов УПЧ с высоким коэффициентом усиления.
Схема прямого усиления имеет слабую избирательность так как на высокой несущей частоте невозможно обеспечить хорошую добротность и узкую полосу пропускания входной цепи, эти недостатки практически исключают возможность применения этой схемы в ДВ и СВ диапазоне так как
![]()
где fПР тАУ промежуточная частота приёмника;
fНЕС тАУ несущая частота приёмника;
Q - добротность
поэтому с увеличением несущей частоты возрастает полоса пропускания, ухудшается избирательность. Схема супергетеродинного типа имеет высокую избирательность так как основная избирательность по соседнему каналу обеспечивается в избирательной системе имеющей хорошую добротность, узкую полосу пропускания и прямоугольность резонансной характеристики.
Так же схема супергетеродинного типа обладает более высокой помехоустойчивостью отношением сигнал/шум, а значит лучшее качество воспроизведения, так как в этой схеме усиление ведётся по трём частотным трактам (радио, промежуточной и звуковой частоты) в результате уменьшаются паразитные помехи.
В соответствии с техническим заданием и выше перечисленным причинами приёмник следует собирать по схеме супергетеродинного типа.
2.2 Выбор и обоснование элементной базы проектируемого приёмника
Современное состояние транзисторной техники позволяет применить транзисторы во всех каскадах приемников без ухудшений качества его работы. Для обеспечения наилучших показателей усилительных устройств, целесообразно применять транзисторы с наибольшим коэффициентом передачи тока и коэффициента частотного использования меньше 0,3.
2.3 Выбор типа транзистора для ВЧ тракта
Исходные данные: Частота f, напряжение питания Uкэ.
Выбираю транзистор в соответствии с заданным частотным диапазоном и напряжением питания. Я выбираю транзистор ГТ309Б типа р-n-р. Его электрические параметры (таблица 2.3).
Таблица 2.3
Т Тип Электро проводимости |
В режиме усиления |
h11 Ом |
hh22 ммкс\м |
hh21э ООм |
ffгр, МГц |
CСк ппф |
ХЗ пс |
rrб, ООм |
||B| |
Технология изготовления |
|
UUкэ В |
i Iэ, мА |
||||||||||
Рp-n-p |
5 |
5 |
338 |
5 |
1100 |
110 |
110 |
5500 |
550 |
6 6 |
диффузионный |
ХЗ- постоянная времени цепи ООС.
ХЗ= rб* Cк;
rб =ХЗ/Cк;
|В| модуль коэффициента передачи тока на частоте f.
Оі= fmax.раб/fгран=1,605/30=0,0535
2.4 Расчет НЧ усилительных параметров транзистора
Исходные данные:
Напряжение база коллектор Uбк=5 В;
Ток коллектора Iк=5 мА;
h11б=38 Ом;
h21э=100 Ом;
h22б=5 мкСим;
Сопротивление базы транзистора rб=50 Ом;
Емкость перехода Ск=10 пф;
|B|=6;
Расчет:
Крутизна характеристики:
So=1111000/ h11б=1000/38=26 мА/В;
Входная проводимость:
g=(100*10-3)/( h11б(1+ h21э))= (100*10-3 )/(38*(1+200))=0,26*10-3 Сим;
Проводимость обратной связи:
Gос= h22б=5*10-6 Сим;
Выходная проводимость:
gi= h22б*(1+ rб* So*10-3)= 5*10-6*(1+200*26*10-3)=18*10-6 мкСим;
Постоянная времени:
ХЗ=(rб* Ск)/(2*ПА*m*|B|*f* h11б* Ск)=
=(500)/(1,6*6,28*6*10*38*10)=0,0021 мкс;
2.5 Расчет ВЧ параметров транзистора
Определить высокочастотные параметры транзистора на частоте 465КГц, ток коллектора 5мА.
Исходные данные:
Напряжение база коллектор Uбк=5В;
Ток коллектора Iк=5мА;
Крутизна характеристики So=26 мА/В;
Входная проводимость g=0,26*10-3 Сим;
Выходная проводимость gi=18*10-6 мкСим;
Постоянная времени ХЗ=0,0021 мкс;
rб=50 Ом;
Ск=10 пф;
Fo=465КГц;
Расчет:
Определение вспомогательных коэффициентов:
Н= So* rб*10-3=26*50*10-3=1,3;
Ф= (So* rб* Ск*10-9)/ХЗ=(26*50*10)/(0,0021)*10-9=6,19*10-3 Сим;
Б=(ХЗ/ rб)*(1-g* rб)*10-6=(0,0021/50)*(1-0,26*10-3 *50)*10-6=20 пФ;
ПЕ=2*ПА*fo*ХЗ=2*3,14*0,465*0,0021=0,006;
Входное сопротивление:
gвх=g+ ПЕ2/ rб=0,26+(0,006/50)=0,21*10-3 Сим;
Rвх=1/ gвх=1/(0,0021)=4761 Ом;
Выходное сопротивление:
gвых= gi+ ПЕ2/Ф=5*10-6 +0,0062*6,19*10-3=25*10-7 Сим;
Rвых=1/ gвых=1/(25*10-7)=188*103 Ом;
Входная емкость:
Свх=Б=20 пФ;
Выходная емкость:
Свых=Ск(1+Н)=10*(1+1,3)=23 пФ;
Крутизна характеристики:
S=So= 26 мА/В;
2.6 Выбор числа поддиапазонов и их границ
Исходные данные: fmax= 285 КГц ; fmin= 148 КГц (ДВ)
fmax= 1605 КГц ; fmin= 525 КГц (СВ)
Согласно техническим требованиям коэффициент поддиапазона КПДтЙд 3.
Проверяется коэффициент перекрытия поддиапазона КД по формуле:
(2.1)
(ДВ)
(СВ)
Так как
заданного по техническим условиям (1,93 < 3), то разбивка на поддиапазоны не производится.
Для обеспечения перекрытия данных поддиапазонов при изменении напряжения питания, изменении температуры и т.д., необходимо раздвинуть крайние частоты поддиапазонов на 1Г·3%. Поэтому определяют крайние частоты перекрытием для каждого поддиапазона.
Крайние частоты каждого поддиапазона
определяются по формуле:
(2.2)
(ДВ)
(СВ)
Коэффициент поддиапазона
с перекрытие:
(2.3)
(ДВ)
(СВ)
2.7 Выбор блока переменных конденсаторов
Для проектируемого приемника ориентируясь на минимальную частоту рабочего диапазона fmin=148КГц, я выбираю КПЕ с параметрами:
Сmin=25пФ Сmax=750пФ. для
Емкость построечного конденсатора: Сподстр.=2Г·8пФ.
Марка блока тАУ ВлСириус-5В».
2.8 Проверка перекрытия диапазонов
Провести проверку перекрытия выбранным КПЕ заданного диапазона.
Исходные данные:
коэффициент поддиапазона с запасом К1ПД = 1,92; (ДВ)
К1ПД = 3,05; (СВ)
КПЕ: С min = 25 пФ; С max = 750 пФ (ДВ)
С min = 15 пФ; С max = 500 пФ (СВ)
Эквивалентная ёмкость схемы
:
(2.4)
пФ (ДВ)
пФ (СВ)
Вычисляем действительную ёмкость схемы Ссх:
Ссх = СМ +С L +С ВН (2.5)
где СМ тАУ ёмкость монтажа;
С L тАУ ёмкость катушки;
СВН тАУ вносимая ёмкость.
Ссх = 15+20+0 = 35 пФ (ДВ)
Ссх = 10+10+0 = 20 пФ (СВ)
так как
> Ссх КПЕ выбран правильно.
Определяется дополнительная ёмкость Сдоб, которую необходимо включить в контур для обеспечения заданного перекрытия:
Сдоб =
(2.6)
Сдоб = 164 тАУ 35 = 129 пФ (ДВ)
Сдоб = 27,06 тАУ 20 = 7,06 пФ (СВ)
Эквивалентная ёмкость контура входной цепи Сэ:
Сэ=(Cmin+CтАЩcx)Г·(Cmax+CтАЩcx) (2.7)
Сэ =(12+164)Г·(450+164)=176Г·614 пФ (ДВ)
Сэ =(10+27,06)Г·(250+27,06)=37,06Г·277.06пФ (СВ)
В качестве добавочной ёмкости выбираю подстроечный конденсатор КПК с изменением ёмкости от 10 до 90 пФ.
2.9 Распределение неравномерности усиления по частотным трактам приёмника
Для ДВ и СВ.
Тракт радиочастоты - 3 Дб
Избирательная система - 3 Дб
Тракт УПЧ - 2 Дб
Тракт УЗЧ - 2 Дб
2.9.1 Расчёт полосы пропускания приёмника
Исходные данные: Верхняя частота F = 4 КГц
П = 2 F (2.8)
П = 8 КГц
2.10 Определение основных параметров избирательной системы тракта радиочастоты
Исходные данные:
крайние частоты поддиапазона:
= 145,04 тАУ 290,7 КГц; (ДВ)
= 514,5 тАУ 1637,1 КГц; (СВ)
избирательность по зеркальному каналу:
(1,41 раза); (ДВ)
(2,126 раз); (СВ)
полоса пропускания - П = 8 кГц;
ослабление на краях полосы тракта радиочастоты:
дБ (1,41 раза); (ДВ)
дБ (2,126 раза); (ДВ)
конструктивное качество контуров:
QК = 90Г·140; (ДВ)
QК = 110Г·160; (СВ)
промежуточная частота тАУ fПР = 465 кГц;
расстройка, при которой заданна избирательность по соседнему каналу тАУ
кГц;
избирательность на промежуточной частоте
дБ (19,9раз).
Задаюсь ориентировочным числом одиночных контуров тракта пс = 1.
Необходимая добротность контуров QП, обеспечивающая заданное ослабление на краях полосы:
(2.9)
(ДВ)
(СВ)
Необходимая добротность контуров Qи, обеспечивающая заданную избирательность по зеркальному каналу так как частота гетеродина принимается выше частоты сигнала:
(2.10)
где
- зеркальная частота.
(2.11)
кГц (ДВ)
кГц (СВ)
(ДВ)
(СВ)
Принимая коэффициент шунтирования
определяется эквивалентная конструктивная добротность контура:
QЭК =
QК (2.12)
QЭК = 45 (ДВ)
QЭК = 55 (СВ)
Так как в ДВ QИ = 0,5 < Qп = 16,7 < Qэк = 45 то вариант (а).
СВ QИ = 3,8 < Qэк= 118,7 < Qп = 55 то вариант (б).
QИ < Qп < Qэк в этом случае эквивалентную добротность контуров Qэ макс необходимо принять равной или немного больше Qи, но не больше Qп.
QИ < Qэк< Qп в этом случае эквивалентную добротность контуров Qэ макс необходимо принять равной или немного больше Qи, но не больше Qэк.
В вариантах (а) и (б) контуры с принятым Qэ обеспечивает одновременно заданные ослабление на краях полосы пропускания меньше заданного
и избирательность по зеркальному каналу лучше заданной
при этом можно принять число контуров равное nc.
Принимаем число контуров nc=1
с качеством (ДВ) Qэ макс=1; (СВ) Qэ макс=4.
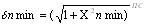
Определяется эквивалентная добротность контура
на нижней частоте диапазона:
(2.12)
где
- эквивалентное затухание контура на верхней частоте диапазона.
(ДВ)
(СВ)
(2.13)
где
- конструктивное затухание контура.
(ДВ)
(СВ)
(2.14)
где
- эквивалентное затухание контура на нижней частоте диапазона;
- входное (выходное) сопротивление электронного прибора соответственно на максимальной и минимальной частотах поддиапазона.
(ДВ)
(СВ)
(2.15)
(ДВ)
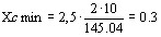
(СВ)
Так как Qэ min = 2,5 < QП = 18,02, (ДВ)
Qэ min = 12,3 < QП = 120,2, (СВ)
расчёт произведён правильно и окончательно принимается:
Для ДВ пс = 1; Qэ min = 2,5; Qэ max = 18,02.
ДВ пс = 1; Qэ min = 12,3; Qэ max = 120,2.
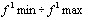
Для крайних точек поддиапазона
;
определяется:
2.10.1 Вспомогательные коэффициенты
(2.16)
(ДВ)
(СВ)
(2.17)
(ДВ)
(СВ)
(2.18)
(ДВ)
(СВ)
(2.19)
(ДВ)
(СВ)
2.10.2 Зеркальные частоты
(2.20)
![]()
(ДВ)
(СВ)
(ДВ)
(СВ)
2.10.3 Избирательность по соседнему каналу
на частоте ![]()
(2.21)
(3,9 дБ) (ДВ)
(4,9 дБ) (СВ)
на частоте
:
![]()
(2.22)
(0,3 дБ) (ДВ)
(0,6 дБ) (СВ)
2.10.4 Ослабление на краях полосы ![]()
(2.23)
(0,6 дБ) (ДВ)
(0,9 дБ) (СВ)
(2.24)
(0,4 дБ) (ДВ)
(0,1 дБ) (СВ)
Исходные данные выполнены;
2.10.5 Избирательность по зеркальному каналу
(2.25)
(49,19дБ) (ДВ)
(44,2дБ) (СВ)
(2.26)
(62,6 дБ) (ДВ)
(58,7 дБ) (СВ)
так как Оґзмин>Оґзмакс=Оґз, исходные данные выполнены.
Избирательность на промежуточной частоте
:
(2.27)
(47,3 дБ) (ДВ)
(28 дБ) (СВ)
Так как Оґпр=<25дБ, то во входной цепи не применяется запирающий фильтр.
2.11 Определение Эквивалентной добротности и числа контуров тракта промежуточной частоты
2.11.1 Ориентировочный выбор избирательной системы
Так как при SeтЙе26 дБ
ПтЙе7 кГц, То применяется ФСС.
2.11.2 Использование фильтров сосредоточенной селекции
Исходные данные:
Промежуточная частота fпр=465КГц;
Полоса пропускания - П = 8 кГц;
Ослабление на края полосы пропускания ДВ Оґп = 2,9дБ СВ Оґп = 6,6дБ;
Избирательность по соседнему каналу Оґе = 32дБ;
Конструктивное качество контура ДВ Qк=90 и СВ Qк=110;
Расстройка, при которой задана избирательность тИЖfc=В±10КГц;
Задаёмся числом ФСС nпр=1
Ослабление на краях пропускания и изберательность по соседнему каналу которые должен обеспечить один ФСС:
Оґфп= Оґп/ nпр; (2.28)
Оґфп=5,5/1=5,5дБ; (ДВ)
Оґфп=6,6/1=6,6дБ; (СВ)
Оґфс= Оґс/ nпр=32/1=32 дБ (2,29)
Относительная расстройка на границе полосы пропускания :
an=0,8
Ширина расчётной полосы пропускания ФСС Пр:
Пр=П/ an=8/0,8=10 кГц
Необходимая добротность контуров ФСС Qn:
Qн=
; (2.30)
Qн=![]()
Для ДВ Qн=131<Qк=140
СВ Qн=131<Qк=160
Расчёт можно продолжать.
Величина относительной расстройки:
а) На краях полосы пропускания УПЧ
an=П/Пр=8/10=0,8; (2,31)
б) Для соседнего канала
ac=2тИЖfс/Пр=20/10=2 (2,32)
Величина обобщённого затухания:
ОІ=2fпр/Qк*Пр (2,33)
ОІ=2*465/140*10=0,6 (ДВ)
ОІ=2*465/160*10=0,6 (СВ)
Отыскивается точка 1 и 2 Оґс1=9 дБ Оґn1=1,2
Число звеньев ФСС для обеспечения избирательности по соседнему каналу определяется по графику (рис. 2.2).
nи=Оґфс/Оґс1=32/9=3.5 (2,33)
nи=4.
Число звеньев ФСС обеспечивающие ослабление на краях пропускания
nn=Оґфп Оґn1 (2,34)
nn=5,5/1,2=4,5 (ДВ)
nn=6,6/1,2=5,5 (СВ)
Так как nn=4,5>nи=4 (ДВ)
nn=5,5>nи=4 (СВ)
то расчёт производится правильно и можно принять:
nф=4= nи с ОІ=0,6
Ослабление краях полосы пропускания УПЧ
Оґп=nр*Оґn1=4*12=4.8дБ (2,35)
Избирательность по соседнему каналу
Оґс=nф*Оґс1=4*9=36дБ (2,36)
Заданные исходные данные выполнены.
2.12 Определение числа каскадов ВЧ тракта
Выбор типа детектора и его электронного прибора
Выбираю диод Д9Г с параметрами:
Граничная частота тАУ 40 МГц;
Максимально допустимое обратное напряжение тАУ 30 В;
Прямой ток тАУ 10 мА;
Обратный ток тАУ 800 мкА;
Тип детектора: диодный(квадратичный);
Амплитуда напряжения на входе Uдвх=3 В;
Коэффициент передачи Кд=0,7.
2.12.1 Параметры детектора
Uдвх=Кд*m*U2 (2.37)
Uдвх=0,7*0,3*32=1,86В
2.12.2 Определение требуемого усиления до детектора
Исходные данные:
Действующая высота магнитной антенны hд=2см;
Амплитуда напряжения на входе Uдвх=3 В;
Чувствительность приемника ДВ Е=1,3мВ/м;
СВ Е=1 мВ/м;
Эквивалентная добротность контура ДВ Qэ=18,02
СВ Qэ=60
Коэффициент шунтирования контура ПИ=0,5
Эквивалентная добротность контура ДВ Сэ мин=176
СВ Сэ мин=37
Максимальная частота поддиапазона ДВ f тАШмакс=290,7
СВ f тАШмакс=1637,1
Транзистор ГТ309Б имеет входное сопротивление на рабочей
частоте Rвх=4,8 кОм
2.12.2.1 Коэффициент включения транзистора м контур магнитной антенны
m2=
(2.38)
m2=
(ДВ)
m2=
(СВ)
2.12.2.2 Амплитуда напряжения на входе транзистора
Umв=EhдQэm2 (2.39)
Umв=1300*0,02*18,02*0,65=304,5мкВ (ДВ)
Umв=1000*0,02*60*0,39=468,0мкВ (СВ)
2.12.3 Определение числа и типа усилительных каскадов до детектора
Для определения числа каскадов до детектора необходимо задаться реальным коэффициентом передачи входной цепи Квц
ДВ Qэ=25 Квц=3
СВ Qэ=70 Квц=6
Исходные данные:
Крайние частоты поддиапазона ДВ fтАЩ=(290,7-145,04) КГц;
СВ fтАЩ=(1637,1-514,5) КГц;
Промежуточная частота fпр=465КГц;
Требуемое усиление о детектора ДВ КтАЩm=14778,3
СВ КтАЩm=9615,3
Число контуров тракта УРЧ nc=1;
Число фильтров тракта УПЧ nпр=3;
Параметры транзистора КТ309Б на рабочей частоте: S=26mA/B; Uк=5В:Iэ=5мА Ск=10пФ.
2.12.3.1 Т.к. число контуров тракта радио частоты nс=1, то каскад урч не ставится
2.12.3.2 Максимальный устойчивый коэффициент усиления каскада УПЧ на транзисторе без применения нейтрализации
(2,40)

Каскад преобразователя частоты
(2,41)
=18,8 (ДВ)
=7,9 (СВ)
2.12.3.3 Предварительно принимаем
число каскадов тракта радиочастоты Nурч=nc-1=0
число каскадов тракта промежуточной частоты Nупч=3-1=2
2.12.3.4 Общее усиление до детектора
Кобщ=Кпр*Купчn пр -1 (2.42)
Кобщ=18.8*14.83-1=278.24 (ДВ)
Кобщ=7,9*14.83-1=117 (СВ)
2.12.3.5 Т.к. Кобщ<KтАЩт (ДВ)
Кобщ<KтАЩт (СВ)
То технические условия не выполняются, необходимо добавить один каскад апериодического усиления на промежуточной частоте.
Принимается число каскадов Nурч=0; Nупч=2+1(апер)
Кобщ=18.8*14.84-1=60945,6 (ДВ)
Кобщ=7,9*14.84-1=25610 (СВ)
Условие выполняется.
2.13 Предварительный расчет АРУ
Исходные данные:
Эффективность АРУ:
Изменение входного напряжения а=36дБ(63 раза);
Изменение выходного напряжения р=8дБ(2,5 Раза);
2.13.1 Требуемое изменение коэффициента приемника под действием АРУ
Лm=63/2.51=25,2 (2,43)
2.13.2 Принимая во внимание, что все регулируемые каскады будут одинаковые по схеме и типам ламп, определяется необходимое их число:
Nару=1gЛm/1gЛ1=1g25,2/10=1,4 (2,44)
Принимаю число регулируемы каскадов Nару=1 и будет осуществляться регулировка в каскадах УПЧ.
2.14 Эскизный расчёт тракта низкой частоты
2.14.1 Выбор типа электродинамического громкоговорителя
Исходные данные в соответствии с техническим заданием:
Номинальная выходная мощность РВЫХ = 0,1 Вт
Диапазон воспроизводимых частот от
= 130 тАУ 4000 Гц
Я выбираю динамическую головку типа 1 ГД тАУ 28:
Номинальная мощность, 1 Вт
Диапазон воспроизводимых частот, Гц 100 тАУ 10000
Полное сопротивление звуковой катушки, Ом 6
Габаритные размеры, мм 147 х 98 х42
Масса, Г 200
2.14.2 Выбор типа схемы транзисторов для усилителей мощности
Так как выходная мощность Р=0,1Вт, то трансформаторный усилитель мощности на транзисторах типа П302 в режиме класса А,В.
h21э=60-150; Uкэ=15 В; Iк макс=0,3А
Мощность рассеяния на один транзистор
Рк=0,4*PтАЩн/О·т*Оѕ2 (2,45)
Рк=0,4*0,35/0,7*0,82=0,25
Ек<(0,3)*Ек макс=8,1
2.14.3 Выбор транзисторов для предварительных каскадов УНЧ Для каскадов ПУНЧ выбираю транзисторы
2.14.4 Эскизный расчет усилителя мощности
Исходные данные:
Номинальная выходная мощность 3Вт;
КПД выходного трансформатора 0,7;
Коэффициент использования коллекторного напряжения Оѕ =0,9;
Выходное напряжение детектора Uдвых=3В;
Коэффициент передачи детектора ДВ Кд=1,92;
СВ Кд=3,05;
Входное сопротивление каскада УПЧ тАУ 4,7Ком
Предельно допустимое напряжение коллектора для выбранного транзистора Ек=0,3*Екмакс=8,1 В;
Амплитуда тока коллектора оконечного каскада:
Iмк
(2.46)
Iмк
Iмк=0,98 А< Iкmax=2А;
Амплитуда тока базы оконечного каскада:
Imб=Imк/Вmin (2.47)
Imб=0,98/50=2мА
Постоянная составляющая тока коллектора:
Io=Imk/ПА (2.48)
Io=0,98/3.14=31мА
Выбирается схема квадратичного детектора, работающего режиме малых напряжений, для которого:
Rн=2Rвхупч*Кд (2.49)
Rн=2*4,7*1,92=18 Ком (ДВ)
Rн=2*4,7*3,05=28 Ком (СВ)
Амплитуда тока базы при работе детектора:
IтАЩmб=Uдвых/2Rн (2.50)
IтАЩmб=3/2*18=8,3*10-3мА (ДВ)
IтАЩmб=3/2*28=5,3*10-2мА (СВ)
Требуемое усиление по току:
КiТ= Imб/ IтАЩmб (2.51)
КiТ=2/(8,3*10-3)=24096 (ДВ)
КiТ=2/(5,3*10-2)=37735 (СВ)
Требуемое усиление c запасом:
КiТЗ=1,5* КiТ (2.52)
КiТЗ=1,5*24096=36144 (ДВ)
КiТЗ=1,5*37735=56602 (ДВ)
Выбирается для ПУНЧ транзистор КТ501А;
Необходимое число каскадов предварительного усиления:
Nунч=lg КiТЗ/ lg Вmin (2.53)
Nунч=4,38/1,6=2,7 (ДВ)
Nунч=4,57/1,6=2,8 (СВ)
Полученная величина округляется до большего целого числа Nунч=3.
2.15 Предварительный расчёт источников питания
Исходные данные
Ек=8; Iк1=Ik2=Ik4=0,3А; Ik3=15мА: t=3 часа
2.15.1 Ориентировочная мощность потребляемая от источников питании энергия
Ро=Р1=Ек*n+1*Ikn (2.54)
Po=(3+3+3+3+15)*10-3=0,216 Вт
2.15.2 Требуемая мощность с запасом
Рт=1,5*Ро (2,55)
Рт=1,5*0,216=0,324 Вт
2.15.3 Номинальная сила тока
Iном=Pт/Ек (2,56)
Iном=324/8=40,5 мА
2.15.4 Требуемая ёмкость источника питания
W=Iном*tр (2,57)
W=0,0405*3=0,12 Ач
2.15.5 Тип источника питания
Выбран 5ЦНК-0,2. Емкость 0,2 Ач. Ток 65 мА. Напряжением Е=5-7 В
4 Электрический расчёт каскадов приёмника
Исходные данные:
рабочий диапазон частот тАУ
= 145,04 тАУ 290,7 КГц;
пределы изменения ёмкости - С min - С max = 25 - 750 пФ
средние значения эквивалентных параметров антенны тАУ RА = 25 Ом, САср= 150 пФ;
эквивалентная добротность тАУ 25;
промежуточная частота тАУ 465 кГц;
полоса пропускания тАУ 8 кГц.
Ёмкость контура с учётом влияния антенны:
(4.1)
пФ
(4.2)
где
(4.3)
кГц
пФ
(4.4)
пФ
Проверяется коэффициент поддиапазона
:
(4.5)
![]()
что соответствует заданному ![]()
Определяется индуктивность катушки контура L:
(4.6)
16 мкГн
Сопротивление потерь
:
(4.7)
где
- удельное сопротивление;
QK тАУ добротность контура.
Ом
Необходимая величена собственной добротности контура
:
(4.8)
Полученная величина конструктивно выполнима. Принимается
Определяется сопротивление потерь контура. Для этого рассчитывается характеристика контура:
(4.9)
Ом
Коэффициент передачи в трёх точках поддиапазона
на
(4.10)
на
(4.11)
на
(4.12)
где
(4.13)
![]()
на
на
на
Коэффициент неравномерности передачи напряжения
(4.14)
![]()
что соответствует условию:
.
Резонансная характеристика входной цепи рассчитывается как зависимость коэффициента передачи от расстройки
(4.15)
где
0,1,2,3,тАж,10 кГц;
f - частота, на которой коэффициент передачи имеет значение КВЦ.
Резонансная характеристика входного устройства на частотах
и
При ![]()
(4.16)
При ![]()
(4.17)
![]()
(3,4 дб)
6 Заключение
Спроектированный в процессе курсовой работы радиоприемник имеет следующие технические преимущества: данный радиоприемник собран на отечественных элементах, что обеспечивает быструю находку элемента вышедшего из строя; радиоприемник собран на транзисторах, что увеличивает его срок службы; отечественные элементы меньше западных аналоговых элементов ВлбоятсяВ» скачков напряжения, что удлиняет срок службы радиоприемнику.
Все элементы, которые, используются в РПУ, необходимы, так как без какого-либо элемента схема изменит, свои параметры и на выходе получится искаженный сигнал.
С экономической точки зрения спроектированный радиоприемник имеет следующие преимущества: все элементы, используемые в приемнике отечественные, что значительно снижает стоимость каждого элемента и приемника в целом; так как в приемнике используются отечественные радиодетали то в случае выхода из строя одного из них, поиск нового радио элемента будут легче с точки зрения материальной и физической сторон; в приемнике использованы только самые необходимые элементы, которые нужны для нормальной работы радиоприемника и в схеме не используется ни какого лишнего элемента, т.е. приемник выполнен в оптимальном варианте, что снижает его себестоимость.
5 Описание конструкции приемника
Корпус приемника выполнен из ударопрочного блочного цветного полистерола. На лицевой стороне расположены: шкала, ручки регулировки, кнопки, кроме того имеется окно с указанием включения питания. Гнездо для подключения внешней антенны расположены в задней части приемника. Во внешнем оформлении приемника применено сочетание цветных пластмасс с металлизированными надписями на шкале и металлическими обрамлениями. Шкала горизонтальная. В качестве верньерного устройства применена однотросиковая схема, натяжение тросика осуществляется цилиндрической пружиной, укрепленной на самом тросик или на барабане. Монтаж приемника выполнен на печатной плате из фольгированного гетенакса. Все детали и узлы схемы, за исключением КПЕ, крепятся к плате пайкой. В приемнике применены малогабаритные блоки КПЕ. Блоки КПЕ устанавливаются на монтажную плату и крепятся к ней двумя винтами.
2.16 Результаты предварительного расчета
Таблица 2.16.1
Входная цепь |
УРЧ |
Избирательная система |
УПЧ |
Детектор |
АРУ |
Входная антенна, ВЦ с сердечником Диапазон ДВ, настройка с помощью КПЕ, Построечный конденсатор ДВ: сириус Неприменять запирающий фильтр |
Отсутствует |
4 Звена фсс заменяю на ПКФ |
3 каскада, 1- аппериодический, 2 резонансных на транзисторах. ГТ 309Б |
Амплитудный последовательный на диоде Д9Г в линейном режиме |
Охватывает первый каскад УПЧ. |
Таблица 2.16.2
ПУНЧ |
Оконечный каскад |
Источник питания |
3 каскада на транзисторах КТ501А в режиме класса А |
Двухтактный трансформаторный на транзисторе П 302 в режиме класса В |
Аккумулятор 5цнк-0,9 5-7 В |
Таблица 2.16.3
Избирательность , дБ |
Ослабление на краях П, дБ |
|||||||
По зеркальному каналу |
По соседнему каналу |
По промежуточной частоте |
Тракт радиочастоты |
Тракт промежуточной частоты |
Тракт низкой частты |
|||
Расчетное |
Заданное |
расчетное |
Заданное |
Расчетное |
Заданное |
|||
49 |
26 |
36 |
32 |
28 |
25 |
7 Список литературы
1 Ю.А. Буланов; С.Н. Усов тАУ ВлУсилители и радиоприёмные устройстваВ»
Москва ВлВысшая школаВ» 1980.
2 В.Д. Екимов; К.П. Павлов тАУ ВлПроектирование радиоприёмных устройствВ»
Издательство ВлСвязьВ» 1970.
3 Горюнов Н. Н. тАУ ВлСправочник по полупроводниковым
приборамВ»
Энергоиздат 1982.
4 Методические пособия.
Вместе с этим смотрят:
Примеры задач оптимизации, связанных с фундаментальными понятиями теории связиПроектирование активных RC-фильтров
Проектирование АЛУ для сложения двоично-десятичных чисел
Проектирование командно-измерительной радиолинии системы управления летательным аппаратом